手机导航
网站首页
工作
招聘
岗位
猎头
急聘
人才
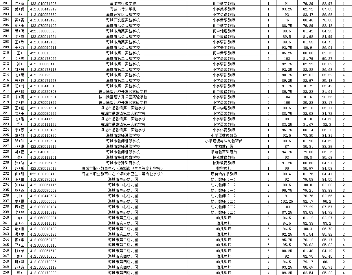
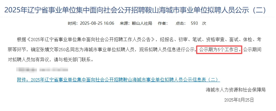
25辽宁事业编拟聘-鞍山海城市(二)
发布时间:2025-09-01 19:05:23
25辽宁事业编拟聘-鞍山海城市(二)
#这里有信儿
#大连中公
#辽宁事业单位
#鞍山事业单位
#鞍山海城事业单位
#海城事业单位
#海城事业编
#鞍山海城事业编
#中公
#事业单位
上一篇:
2025年公开招聘劳务派遣拟聘人员名单公示
上一篇:
2025下半年丽水市直事业编开始招聘啦
热门文章
邢台沙河市招聘一个饭搭子
威海环翠区招人❗
2025年宁波市象山县卫健系统公开招聘
29人|2025年承德市双桥区城市管理招聘
89女,保定市工作
招聘啦啦啦~
日喀则市大学生乡村专干考试❗️❗️
2025下半年丽水市直事业编开始招聘啦
25辽宁事业编拟聘-鞍山海城市(二)
2025年公开招聘劳务派遣拟聘人员名单公示
最新文章
恭喜上岸,宁晋教师
速查!中山南区幼儿园教职工拟聘名单已出!
达州||👏👏👏达川区文员,🤙OOO
泉州石狮市,招聘小学教师,提供住宿!
南京市民政局所属事业单位公开招聘卫技人员
南阳辅警蕞后一天报名,这些信息提前了解
25年安徽铜陵市铜官区小学招聘教师公告
25辽宁事业编拟聘-朝阳北票教育局属学校岗
深圳市光明区委组织部招聘
龙岩市第一医院公开拟聘人员
推荐阅读
邢台沙河市招聘一个饭搭子
威海环翠区招人❗
2025年宁波市象山县卫健系统公开招聘
29人|2025年承德市双桥区城市管理招聘
89女,保定市工作
招聘啦啦啦~
日喀则市大学生乡村专干考试❗️❗️
2025下半年丽水市直事业编开始招聘啦
25辽宁事业编拟聘-鞍山海城市(二)
2025年公开招聘劳务派遣拟聘人员名单公示
恭喜上岸,宁晋教师
皖ICP备20008326号-9
| QQ:859242200 | 地址:江苏省宜兴市人力资源产业园 | 电话:13295639219 |
首页
搜索
留言
预订电话