手机导航
网站首页
工作
招聘
岗位
猎头
急聘
人才
26广东省考岗位表及往年报名人数进面分数线
发布时间:2025-10-21 20:11:06
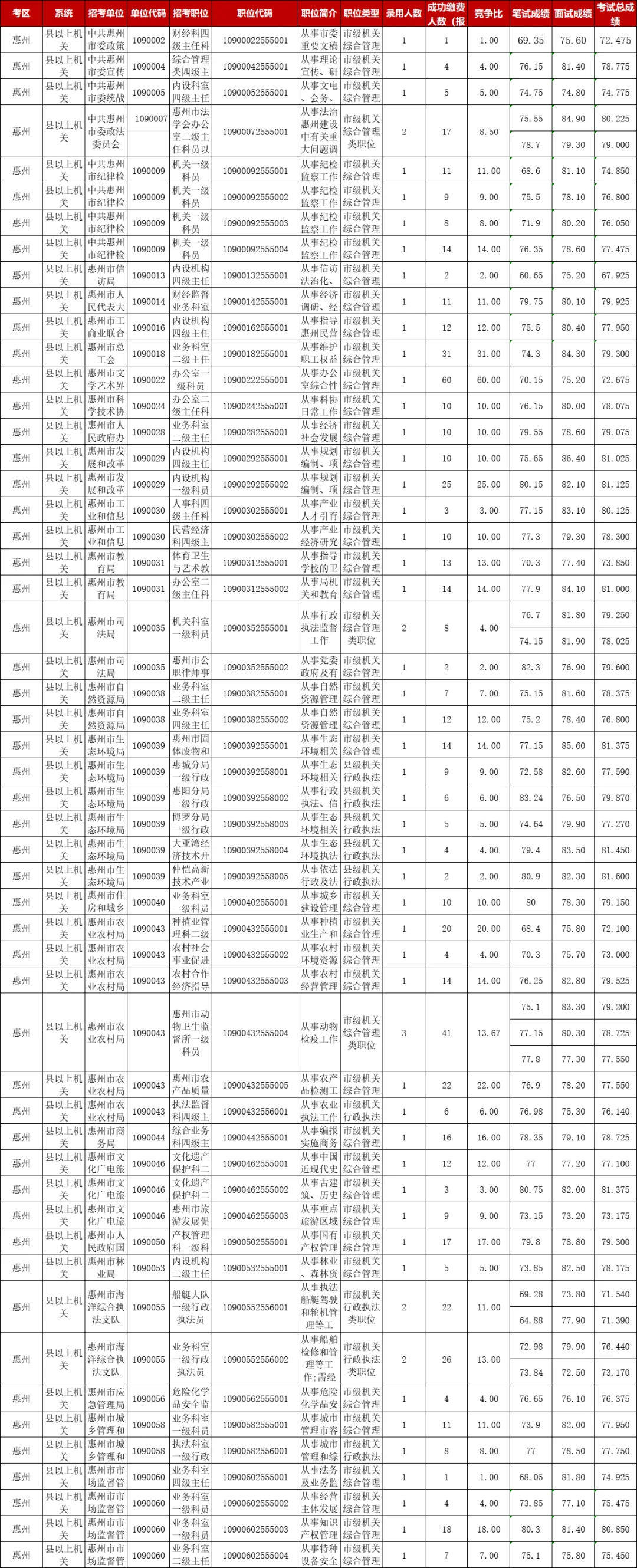
26广东省考岗位表及往年报名人数进面分数线
2026广东省考公告、岗位表已出!参考去年的进面分,冲!
#广东省考
#广东省考公告
#广东省考岗位表
#广东省考职位表
#广东省考笔试
#广东省考岗位
#2026广东省考
#广东省考进面分
#广东省考进面分数
#2026校招季
上一篇:
用对BOSS直聘,找工作真的不用愁✨
上一篇:
杭州市职业能力建设指导服务中心招工作人员
热门文章
农发行今年招聘也太人性化了吧?
2026山东农商行招聘指南
有菏泽巨野的同学需要巨野农商行工作吗?
🥬农产品现货交易操作员 是干嘛的?
外企offer已拿!这份简历模板直接拿去用
应届生高分求职简历模板,免费下载
📦物流管理简历这样做!HR直夸“专业
学历低➕经验少,简历这样写offer收到手软💪
不要把英文简历写得太具体化
太棒了,是邪修,三无懒蛋留子简历有救了!
最新文章
不是哥们,真的免笔试!!!???
新媒体运营求职简历模板新媒体专业应届分享
📍马山法院!招书记员1人
打工人必知!白领求职隐藏福利
【校招10-25w】四川商投
徐州市华杰实验学校聘师公告
昆明小众冷门双休公司
【达鹏集团】聘招专员5K-8K!☀☀
改的简历好靠谱👍offer拿到难以置信‼️
迦勒底直聘
推荐阅读
外企offer已拿!这份简历模板直接拿去用
应届生高分求职简历模板,免费下载
📦物流管理简历这样做!HR直夸“专业
学历低➕经验少,简历这样写offer收到手软💪
不要把英文简历写得太具体化
太棒了,是邪修,三无懒蛋留子简历有救了!
不是哥们,真的免笔试!!!???
新媒体运营求职简历模板新媒体专业应届分享
📍马山法院!招书记员1人
打工人必知!白领求职隐藏福利
【校招10-25w】四川商投
琼ICP备2025051398号-21
| QQ:888888888 | 地址:地球村88号 | 电话:1888888888 |
首页
搜索
留言
预订电话