南京浦口区卫健委所属事业单位2025招聘!22

发布时间:2025-10-19 01:26:46   

南京浦口区卫健委所属事业单位2025招聘!22

南京浦口区卫健委所属事业单位2025招聘!22

南京浦口区卫健委所属事业单位2025招聘!22

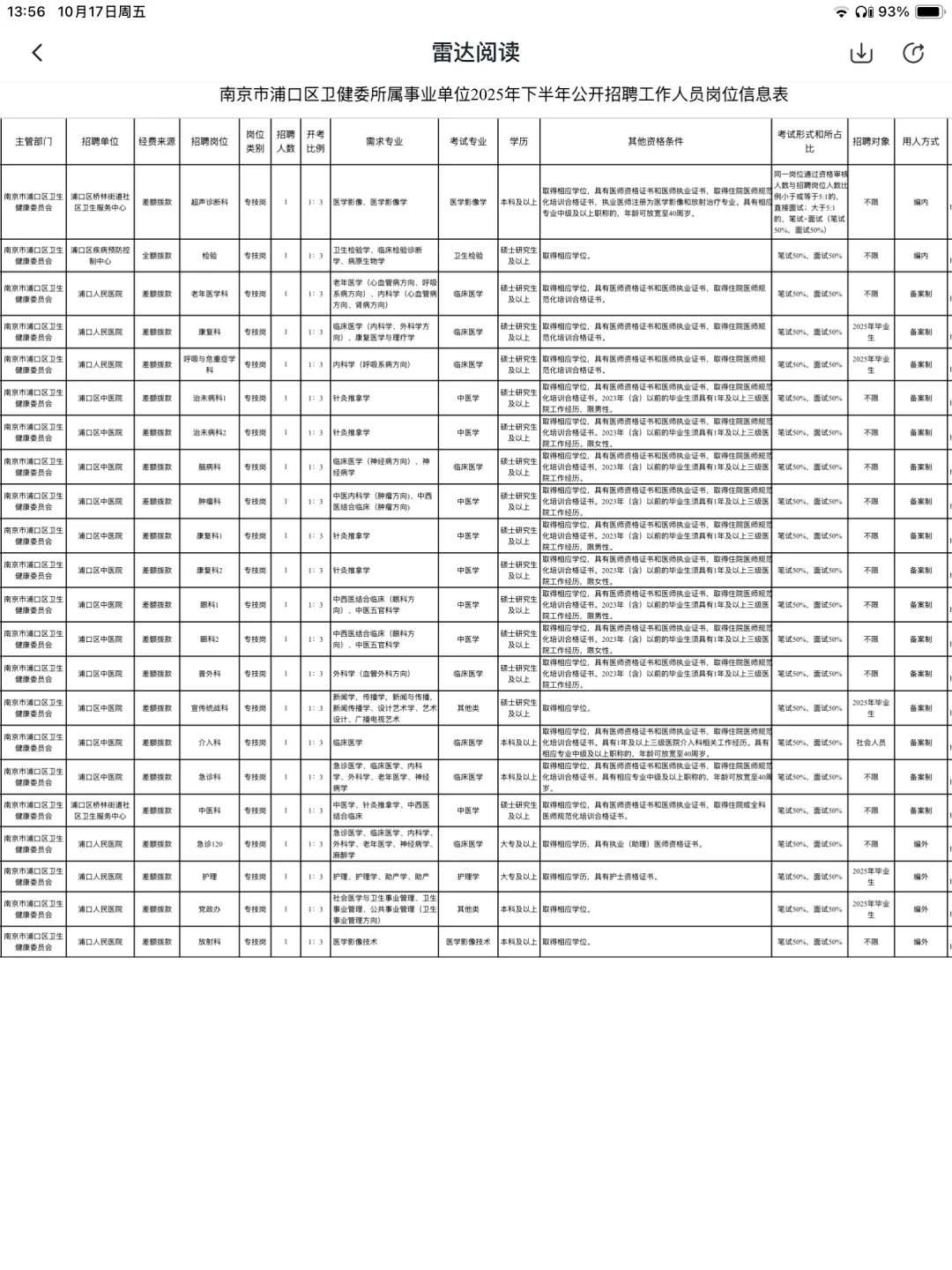
南京市浦口区卫健委所属事业单位2025年下半年公开招聘工作人员,招22人,涉及22个职位,包含2名事业编制内人员、16名备案制人员、4名编外人员。

关键时间节点:

• 报名时间:2025年10月23日9:00至10月28日16:00

• 确认及缴费时间:2025年10月23日9:00至10月30日17:00

招聘岗位具体信息可在南京市浦口区人民政府网、浦口人民医院网、浦口区中医院网查询。医疗及相关行业从业者可根据自身情况,关注对应岗位,按时完成报名流程。

#事业单位招聘 #部分有编 #南京招聘 #医疗求职 #2025就业#医院招聘 #有编岗位 #医学求职 #2026就业 #事业编医疗 #临床医学 #医疗卫生招聘考试 #医疗 #医学生规培 #医疗工作者

上一篇:2026陕西煤业化工集团校招陕煤集团考试资料

上一篇:深圳市福田区妇幼保健院招聘 本科以上

琼ICP备2025051398号-21  |   QQ:888888888  |  地址:地球村88号  |  电话:1888888888  |