手机导航
网站首页
工作
招聘
岗位
猎头
急聘
人才
关于2025年梅河口市事业单位公开招聘工作人
发布时间:2025-10-16 00:51:28
关于2025年梅河口市事业单位公开招聘工作人
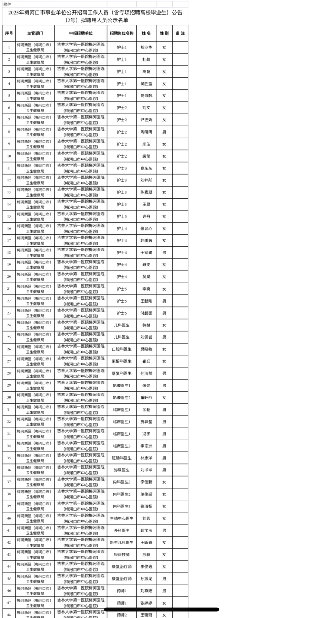
关于2025年梅河口市事业单位公开招聘工作人员(含专项招聘高校毕业生)公告(2号)拟聘用人员公示的通知
#事业单位招聘
#蒙自下半年事业单位
#编外合同制
#事业单位
#事业编备考
#事业编
#定向选调
#人才引进上岸
上一篇:
80道黑龙江省农科院招聘面试题答案逐字稿
上一篇:
最后提醒一下:国企秋招网申即将结束
热门文章
招聘|来人啊,上简历
万辞王的人生会完蛋吗 真的迷茫了
转行了
打破旧我,才能迎接未来
外贸业务国际贸易经理求职简历模板分享
结跳槽还是留守?3小时访谈提炼
18号硕博招聘会代投简历
1.5万急转!难得好工作!
药学应届生必看!HR看了直呼内行的简历模板
🌟 发现一款神仙简历模板!求职季必存
最新文章
离开国企好找工作吗
HR一眼看中的三无大学生简历模板长这样
二刘跳槽?
Javaer跳槽涨薪准备第一天
没实习,想侧重学术经历?那这个简历适合你
一年换了5份工作,我到底能干什么
花两位数改的简历太香啦
现在这个环境多换工作就对了
深受hr喜欢的万能通用表格简历模板来啦~
招聘-寻找同路的你
推荐阅读
招聘-寻找同路的你
长期招工!复兴区的大厂招聘装卸工!
白象2026校园招聘正式启动
天津移动数智工程师正式开始招聘啦
成都#招聘土建造价工程师➕咨询工程师
Wayfair 招聘!
护理学找工作不要只知道盯着医院看
招打包发货人员!招美术生制作
65大龄👮 停车场保安 65大龄👮
一群大学生天天焦虑焦虑在那焦虑啥啊
招人啦,招人啦 周末双休 需要的可以联系
琼ICP备2025051398号-21
| QQ:888888888 | 地址:地球村88号 | 电话:1888888888 |
首页
搜索
留言
预订电话