手机导航
网站首页
工作
招聘
岗位
猎头
急聘
人才
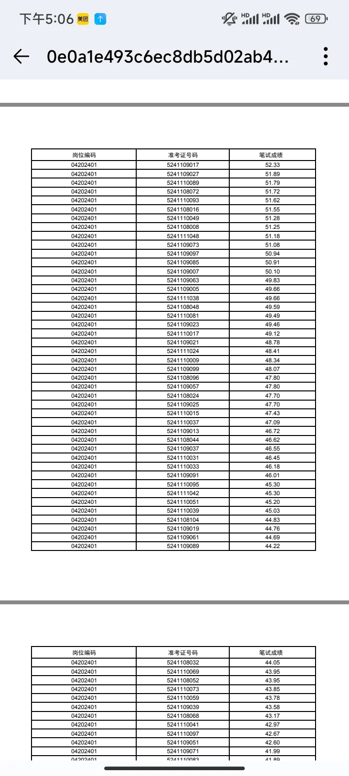
大理大学第一附属医院编外招聘笔试成绩公示
发布时间:2025-10-14 00:19:13
大理大学第一附属医院编外招聘笔试成绩公示
成绩出来了大家快查询,进面的同学可以提前准备了。
#大理大学第一附属医院
#大理大学第一附属医院招聘
#大理大学第一附属医院考情
#大理大学第一附属医院笔试成绩
#大理大学第一附属医院成绩发布
#大理大学第一附属医院面试资料
上一篇:
企业直签长白班
上一篇:
应届生职工医保使用探索
热门文章
🏭 云南铜业直招|月薪8500起+五险一金!
泉州市妇幼保健院今年招聘的编内人员学历
国网不要我,我咋办啊😭
恭喜!2025北京西城教委拟引进非京生源名单!
人事直招
政策行-农发行广西分行校园招聘来了!!!
25届应届生新媒体运营总结篇Day5
北京妇幼保健院招聘17人成绩公示 恭喜上岸
今年寒假放假时间比较长
招聘草莓种植师傅
最新文章
应届生职工医保使用探索
大理大学第一附属医院编外招聘笔试成绩公示
企业直签长白班
什么是应届毕业生?毕业拿证后也算的
2026农发行报名人数较少职位(山东省)
国家能源集团泰州发电直招
这个农业特定还要人吗?
26考研预报名流程,直接照着填信息
海外销售经理(储能)(企业直招)
中农集团陕西实业发展有限公司招聘
推荐阅读
什么是应届毕业生?毕业拿证后也算的
2026农发行报名人数较少职位(山东省)
国家能源集团泰州发电直招
这个农业特定还要人吗?
26考研预报名流程,直接照着填信息
海外销售经理(储能)(企业直招)
中农集团陕西实业发展有限公司招聘
杭州最好的小厂,管理不严工作轻松!!!
天哪!月底就要预报名了,这些材料要准备好
市农牧业科学研究院科研助理招聘公告
外企施耐德急捞应届,有宝子想来嘛
琼ICP备2025051398号-21
| QQ:888888888 | 地址:地球村88号 | 电话:1888888888 |
首页
搜索
留言
预订电话