手机导航
网站首页
工作
招聘
岗位
猎头
急聘
人才
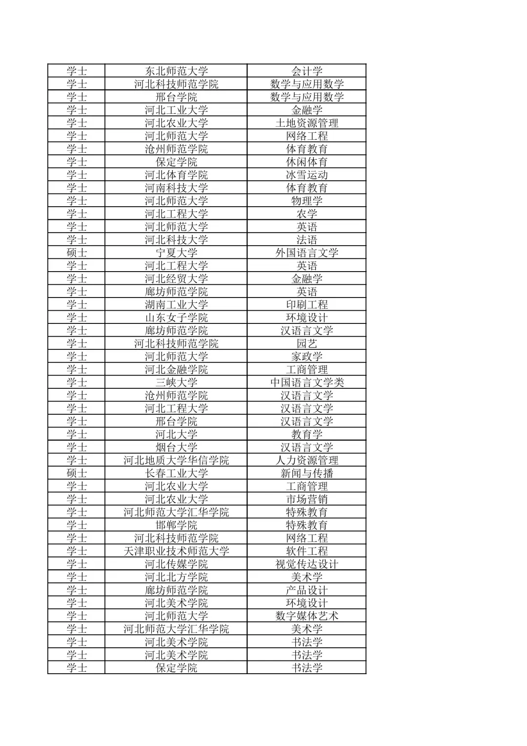
宁晋县2025年教师招聘拟聘用人员公示
发布时间:2025-10-13 14:55:04
宁晋县2025年教师招聘拟聘用人员公示
#教师编
#河北华图
#公示
#教师招聘
#宁晋
#教师
上一篇:
新人直播成长记~第六天
上一篇:
华润集团急捞!!有没有10月能来应届生华润集
热门文章
迁安路北招聘
应届生都找到工作了吗
招全职带货主播,小白也可以
华润集团急捞!!有没有10月能来应届生华润集
宁晋县2025年教师招聘拟聘用人员公示
新人直播成长记~第六天
应届生工作后怎么对抗孤独感和虚无感
新号小白第四天 大佬救命🆘!!
上海外国语大学行政岗,聘用制但待遇不差
小白能不能做语音厅
最新文章
信宜市2025年事业单位公开招聘拟聘用公示
开播第二天!
罗庄临沂职业学院附近有没有想找工作的
刚做主播的第一天感觉…
莱芜找工作!看过来看过来👀
📒 碎碎念|0粉直播第一天
历城区非编再创顶岗新词
河南工程学院丨2025年拟聘用19名博士❗️
小白勇闯主播
西安法院2025年度面向社会公开招聘聘用制
推荐阅读
唐山出了个劳务派遣,有考的吗?
邢台有生活助理吗 1.5-2w/月
25遍考入特岗,三年后入编简单吗
大同事业单位
为何拟聘人员里那么多本单位编外聘用人员
茌平定向服务事业单位人员招聘,19人
放假前cq幼儿园聘用制教师还发工资吗
磨憨招聘39人合同聘用制人员,事业编待遇
泰安的学校招聘了、泰安教师直签
石家庄书记员 待遇怎么样啊
2025年度石家庄法院系统(含辛集市法院)
琼ICP备2025051398号-21
| QQ:888888888 | 地址:地球村88号 | 电话:1888888888 |
首页
搜索
留言
预订电话