四川事业编选岗③件套汇总(无尝)

发布时间:2025-10-13 10:12:19   

四川事业编选岗③件套汇总(无尝)

四川事业编选岗③件套汇总(无尝)

四川事业编选岗③件套汇总(无尝)

四川事业编选岗③件套汇总(无尝)

四川事业编选岗③件套汇总(无尝)

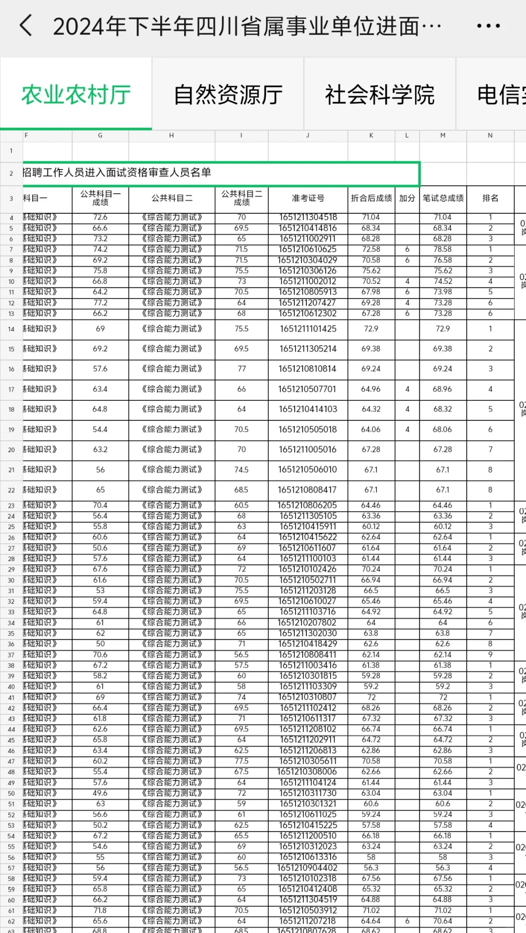
2025下半年四川事业编共招聘5635人\n1️⃣报名时间:10月13日10:00-10月17日18:00\n2️⃣笔试时间:11月16日(中小教师岗位11月15日)\n3️⃣笔试内容:《公共基础知识》和《综合能力测试》;教师岗笔试科目为《教育公共基础》;卫生岗笔试科目为《卫生公共基础》\n-\n👇选岗其实很简单,看3张表就够啦👇\n1️⃣25下半年四川事业编岗位表汇总(先找专业适合的,找不到可以找专业大类的;还有竞争比分析,一目了然)\n2️⃣25事业单位岗位表选岗专用(不分地域只看岗位的宝子可以用哦)\n3️⃣24下半年四川事业编进面线竞争比汇总(参考竞争难度,确定一个目标)\n-\n👇备考其实也不难,给大家整理了👇\n1️⃣24-25年四川事业编甄题(拿走刷两遍)\n2️⃣省情、时正、综应公文格式等籽料分享\n需要的宝子来,🈚️米分享哦\n#四川事业编 #事业编 #四川事业编成绩 #选岗 #事业单位招聘 #事业单位备考 #四川事业单位 #事业编上岸 #四川事业单位考试 #四川事业编进面线

上一篇:别裸考!10.25事业单位A类,就这10套卷

上一篇:事业编C类,作文预侧就这30篇,年年仲

琼ICP备2025051398号-21  |   QQ:888888888  |  地址:地球村88号  |  电话:1888888888  |