手机导航
网站首页
工作
招聘
岗位
猎头
急聘
人才
深圳中学龙华学校24-25届教师学历
发布时间:2025-10-12 13:49:27
深圳中学龙华学校24-25届教师学历
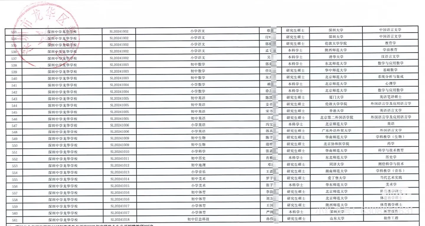
p1为25届,p2为24届,都是秋招第一批公示学历。只能说整体非常高,比龙华区属其他学校高,但双非不是没机会。\n1.双非上岸的基本是研究生,本科生较少,且都是广东双非中的佼佼者:深大、广外等。\n2.机构制造焦虑说211本科没必要去尝试,那是无稽之谈,211本、硕都有上岸,其实双非硕以上都可以去试试,教师招聘多跑的成功概率就会大。\n
#深圳中学龙华学校
#深圳教师编
#深圳教师编秋招
#26届深圳教师
#深圳教师校招
上一篇:
直播背一句,半个月后成为幽默王
上一篇:
灵活用工连续劳务模式的四大核心优势
热门文章
新人聊天主播如何接住流量❗️(二)
工信部拟录取6人公示 名校众多 恭喜上岸!
恶心S了,11.1黑龙江遴选正策说改就改,快背
青海甘德县招录辅警23人。
偷偷搂一眼,考上珠海斗门编制教师的是什么
可爱到犯规的撒娇话术
广东新出!26教师编制!多科有岗!
临淄招录15人,双休!
上海市面向克拉玛招聘笔试成绩公示
饰品直播带货|技巧分享✨
最新文章
文旅局急招,岗位名额有限,欢迎随时咨询
乌兰察布兴和县消防救援大队招录(11人)
运营究竟能给主播带来什么
重庆2025市属二季度自然资源局公示名单
26届深圳龙岗招聘编制教师公告已出!
新人主播想要破冰,可以从以下几个方面入手
山东选调生招录1597人!青海高校本科可报!
中国铁路2026届校园招聘公告
2025体制内多部门联合报名,大专可报
鞍山辅警招录要求裸眼视力4.8,咋办!
推荐阅读
新人聊天主播如何接住流量❗️(二)
工信部拟录取6人公示 名校众多 恭喜上岸!
恶心S了,11.1黑龙江遴选正策说改就改,快背
青海甘德县招录辅警23人。
偷偷搂一眼,考上珠海斗门编制教师的是什么
可爱到犯规的撒娇话术
广东新出!26教师编制!多科有岗!
临淄招录15人,双休!
上海市面向克拉玛招聘笔试成绩公示
饰品直播带货|技巧分享✨
文旅局急招,岗位名额有限,欢迎随时咨询
琼ICP备2025051398号-21
| QQ:888888888 | 地址:地球村88号 | 电话:1888888888 |
首页
搜索
留言
预订电话