手机导航
网站首页
工作
招聘
岗位
猎头
急聘
人才
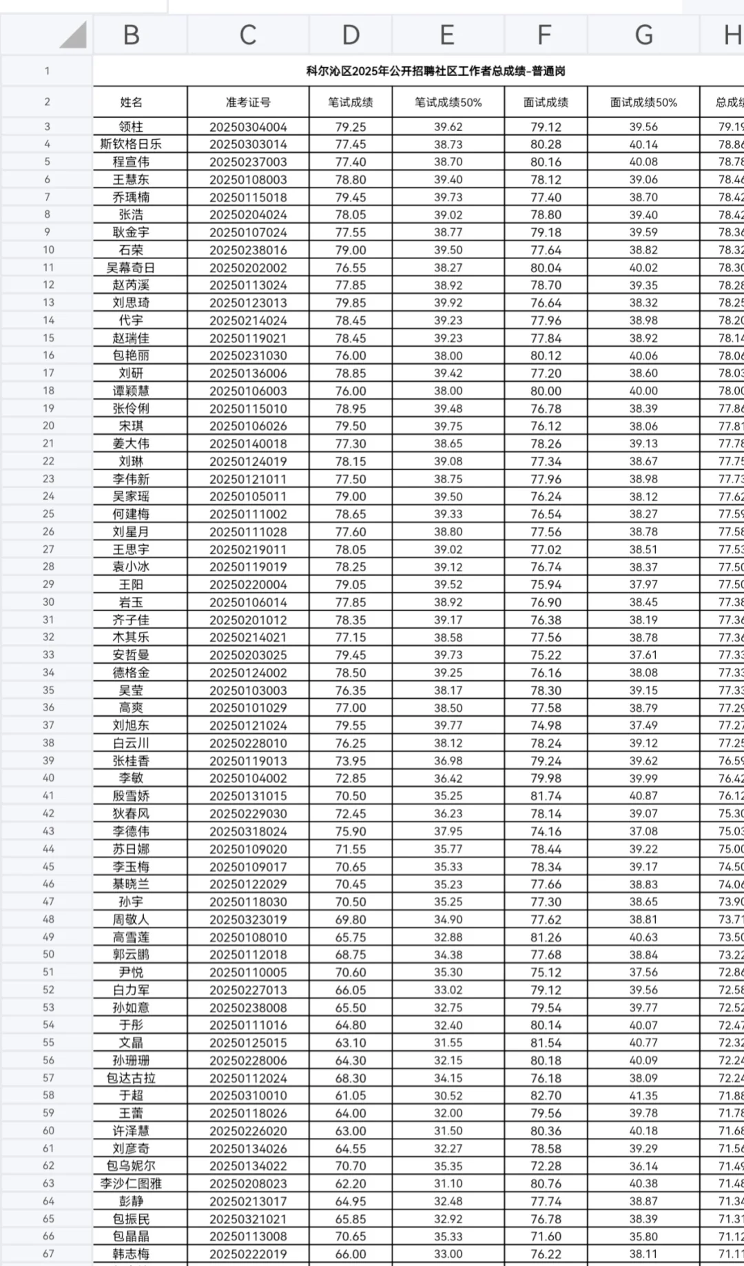
2025年通辽社区面试成绩已出
发布时间:2025-10-07 20:41:53
2025年通辽社区面试成绩已出
2025年通辽社区面试成绩已出\n
#事业单位招聘
#社工面试
#人才引进上岸
#社区工作者面试
#人才引进面试
#基层治理专干
#资格复审
#三支一扶面试
上一篇:
提醒一下社区面试讲话磕巴的人,3天背完稳
上一篇:
咸阳秦都区社区工作者,能帮一个算一个
热门文章
有社工证真的会有补贴吗?
咸阳秦都区社区工作者,能帮一个算一个
2025年通辽社区面试成绩已出
提醒一下社区面试讲话磕巴的人,3天背完稳
朔州朔城区社区工作者很水的,浅说一下强度
玉田社区招聘41人
科区社区工作者大家得多少分啊
因为背到了极致 所以社区招聘选择题秒做!
唐山路北区社区工作者招聘🔥一次过个人
德州这是怎么了?又要这么多社区!
最新文章
怎么选啊
大同左云县社区工作者,能帮一个算一个
10天极限过邯郸临漳县社区工作者(差生版)
痛苦
2025重庆市巴南区招聘社区工作人员
一名乡建实践者的观察笔记
从社区离职的我,又考进社区了…
重庆涪陵招300名社区工作者,你准备好了吗
邯郸临漳县社区工作者,两次过个人心得
带货主播时薪多少算是正常呢?
推荐阅读
玉田社区招聘41人
科区社区工作者大家得多少分啊
因为背到了极致 所以社区招聘选择题秒做!
唐山路北区社区工作者招聘🔥一次过个人
德州这是怎么了?又要这么多社区!
怎么选啊
大同左云县社区工作者,能帮一个算一个
10天极限过邯郸临漳县社区工作者(差生版)
痛苦
2025重庆市巴南区招聘社区工作人员
一名乡建实践者的观察笔记
皖ICP备20008326号-9
| QQ:859242200 | 地址:江苏省宜兴市人力资源产业园 | 电话:13295639219 |
首页
搜索
留言
预订电话