手机导航
网站首页
工作
招聘
岗位
猎头
急聘
人才
看完24下安徽事业编联考进面线,我沉默了…
发布时间:2025-09-17 15:31:00
看完24下安徽事业编联考进面线,我沉默了…
15号-19号,安徽事业编正在报名中,选个心仪的岗位哦!\n其实选岗很简单,就看3️⃣张表就好啦\n
[一R]
专业目录(先看小类,小类没有再看专业所属的大类哦)\n
[二R]
25安徽事业编岗位表汇总(已出公告的全部汇总啦,宝子们直接用!)\n
[三R]
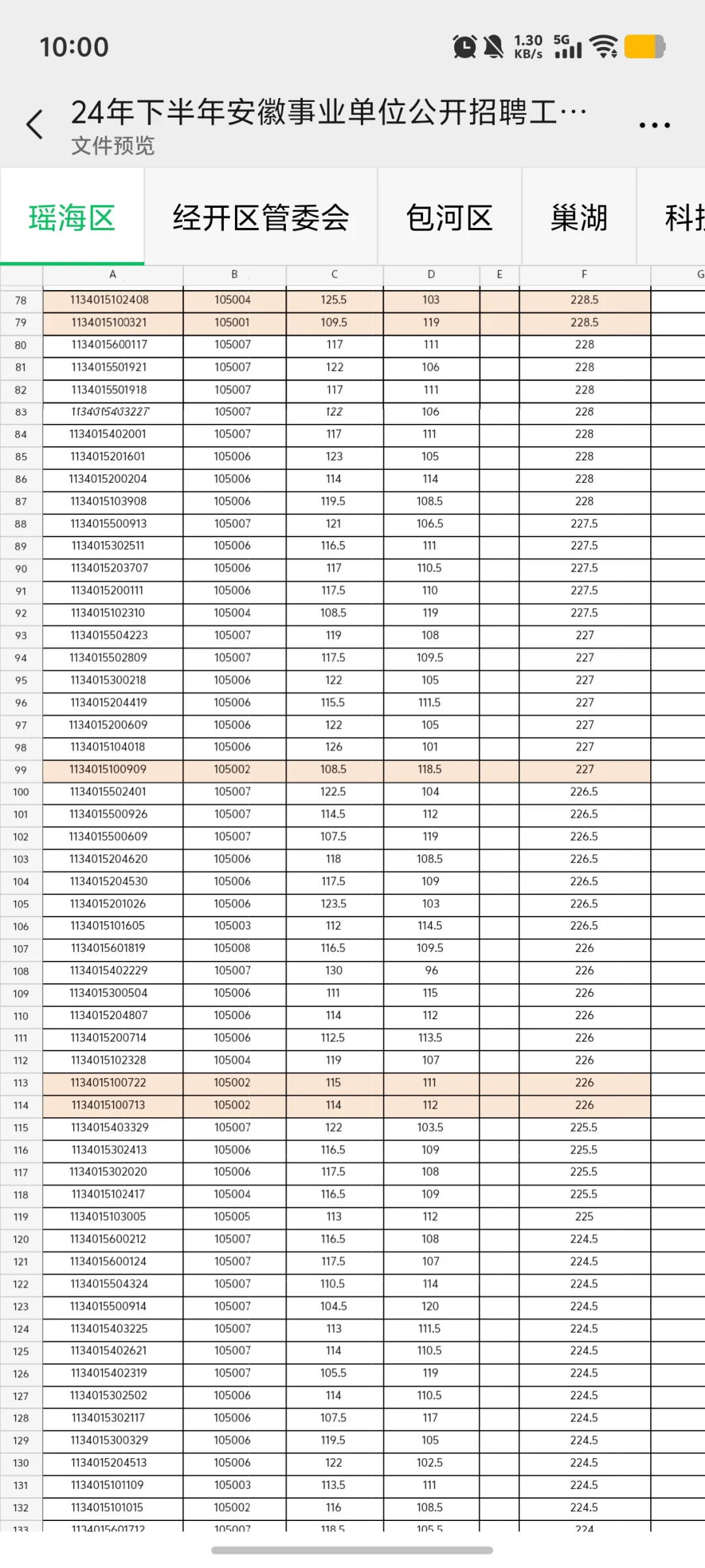
24下半年安徽事业编进面线(参考一下难度哦)\n
[四R]
安徽事业单位近3年甄题(多刷几遍!)\n㊗️宝子们选个好岗,所愿皆成真!\n
#综应
#事业单位联考
#事业单位招聘
#国家事业单位
#事业编上岸
#安徽事业单位
#安徽事业编
#安徽事业单位联考
#历年真题
上一篇:
生化环材冲冲冲,有编制
上一篇:
应届生秋招一定要投的央国企(湖南篇)
热门文章
招人招人,急招人
招不到人啦,急招!!!
✨【急招!和我们一起烘焙梦幻星光吧🎀】
急招全能型SSR人才
急招国企财务实习生(包吃包住双休)
某大厂急招,感兴趣者入
一套几乎可以接触到几乎任何急招岗位的方法
木屋烧烤 急急急急招兼职
招JDY,但会按照JDS培养,有hc!!!
top美妆快消|给自己招继任
最新文章
招公寓管家
市北光影汇急招化妆助理,零基础可学
央广实习捞捞继任
厂区保安招聘急招
【已招满】|招电商运营助理
潍坊寒亭区某高中急招教师
字节急招继任啊啊啊
急招实习生 杭州男大请私聊我
携程🐬急招!产品信息运营实习继任
日结253元!马鞍山质检员急招!
推荐阅读
招人招人,急招人
招不到人啦,急招!!!
✨【急招!和我们一起烘焙梦幻星光吧🎀】
急招全能型SSR人才
急招国企财务实习生(包吃包住双休)
某大厂急招,感兴趣者入
一套几乎可以接触到几乎任何急招岗位的方法
木屋烧烤 急急急急招兼职
招JDY,但会按照JDS培养,有hc!!!
top美妆快消|给自己招继任
招公寓管家
皖ICP备20008326号-9
| QQ:859242200 | 地址:江苏省宜兴市人力资源产业园 | 电话:13295639219 |
首页
搜索
留言
预订电话