手机导航
网站首页
工作
招聘
岗位
猎头
急聘
人才
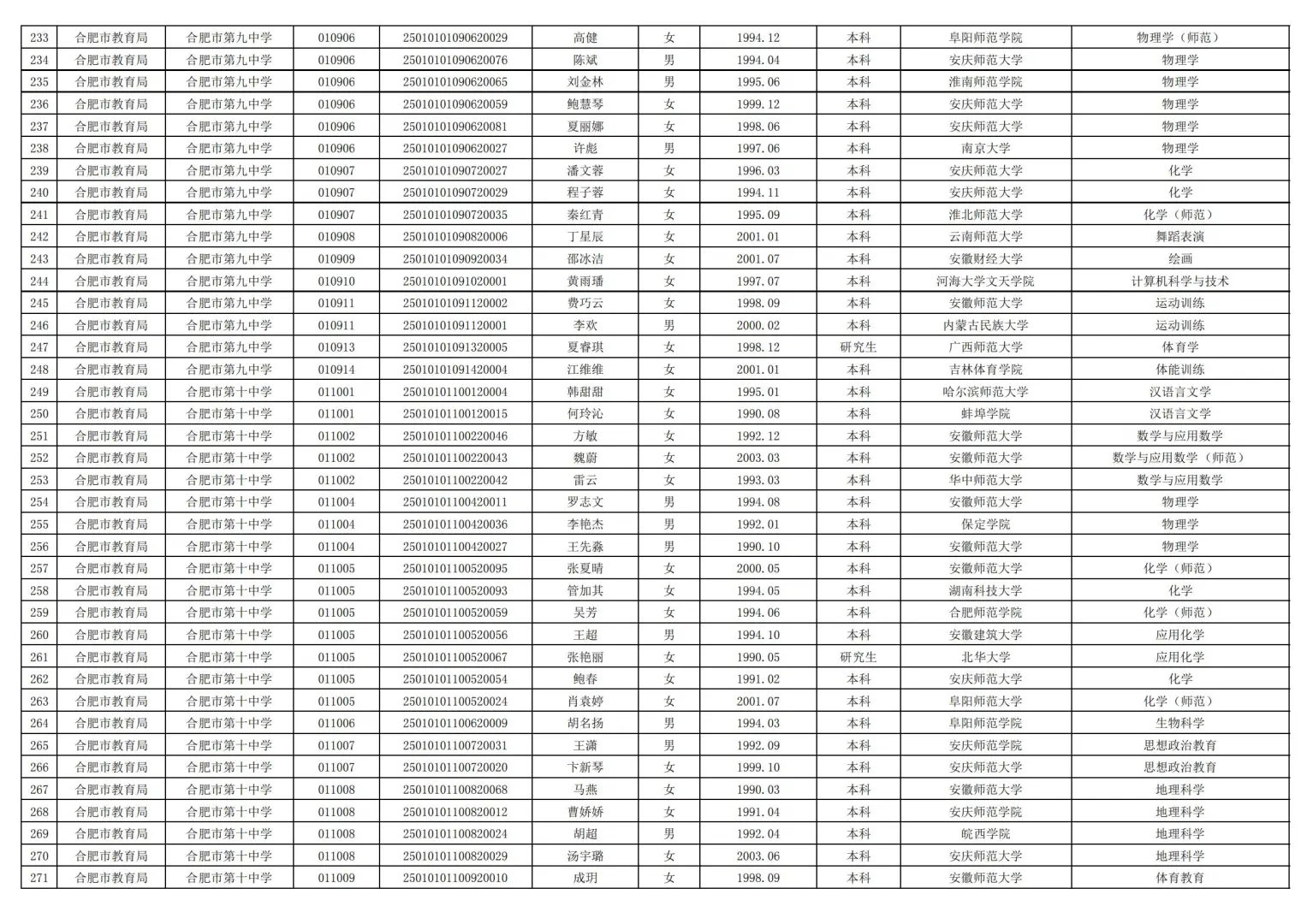
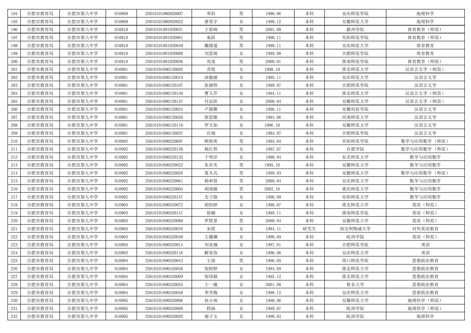
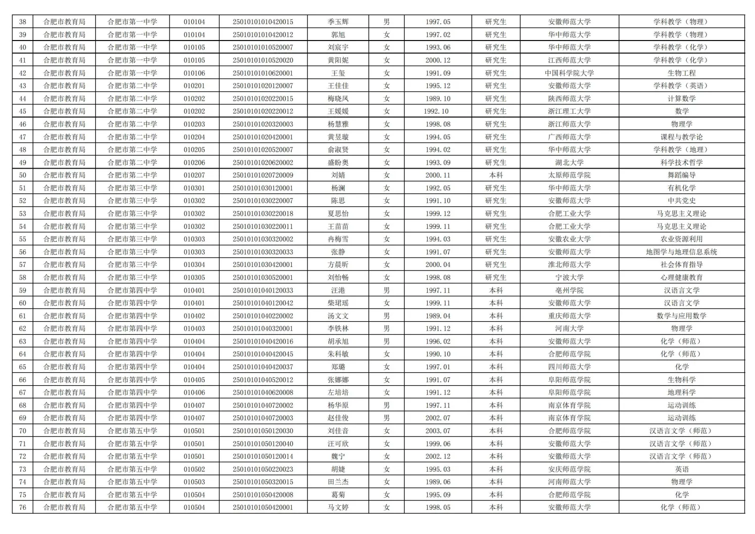
合肥市直属学校新任教师招聘拟聘人员公示
发布时间:2025-08-19 22:48:31
合肥市直属学校新任教师招聘拟聘人员公示
恭喜那些35岁的老师们,一切刚刚好
#安徽教师招聘
#安徽教师考编
#教师招聘考试
#安徽教师编制
#中小学教师
上一篇:
聘请华文老师
上一篇:
南海大沥招语文临聘老师
热门文章
聘请华文老师
不想上班了 创业求带
丰南文旅招聘
小县城的工作出路在哪
新绛县优秀教师引进计划启动
唐山迁安某学校招聘老师
盐山中学英语事业编多少进面啊😡
学校县管校聘工作实施方案规划细则
在一个县城里,县委书记的生活是什么样的?
浙江武义照聘啦 找工作的快来!!
最新文章
好消息!运城在外的游子可以回家工作了
馆陶县教师招聘会惩罚每一个不看通知的人
晋州教师编
河北灵寿中学公开选聘教师30名
妈妈教书20年,学校用空白协议夺走养老金
安义县D二中学代课老师,本科起!
原阳县教师遴选农村到城区
玉山招人
2025年永新县县直事业单位选调拟聘名单
衡水一县小学全科公费师范生拟聘公示!
推荐阅读
宜春湖田镇中心幼儿园教师招聘公聘
恭喜上岸🍒上海商学院拟聘人员公示
黑】密山市卫生院拟聘10人
长沙卫健委招400人!E类!有编!
恭喜上岸🎉 横栏镇教招拟聘人员名单!
昆明市西山区2025年事业单位聘人员公示(一
侯家塘社区医院聘坐诊医生
晋江市平山中学,招聘4门学科,市聘教师!
2025年樟树市市属国有企业聘工作人员30人!
广州市增城区正果镇中心小学编外教师招聘
南海大沥招语文临聘老师
皖ICP备20008326号-9
| QQ:859242200 | 地址:江苏省宜兴市人力资源产业园 | 电话:13295639219 |
首页
搜索
留言
预订电话