近日
花山区、雨山区、博望区
陆续公布了
中小学新任教师公开招聘
现场资格复审的通知
一、现场资格复审对象
现场资格复审对象为拟入围专业测试人员。
二、现场资格复审时间、地点
时间:2023年4月20日,上午 8:30~11:30,下午14:30~17:00。逾期视为自动放弃。
地点:花山区教育局一楼(花山区教育服务中心)
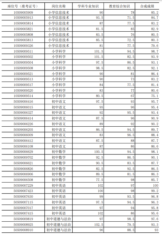
附件:2023年马鞍山市花山区区属中小学新任教师公开招聘拟入围专业测试人员名单





根据《2023年雨山区中小学新任教师公开招聘公告》规定的招聘程序,经网上报名、资格审查、统一笔试等环节,现将2023年雨山区中小学新任教师公开招聘现场资格复审有关事项通知如下:
一、现场资格复审对象
现场资格复审对象为拟入围专业测试人员,名单见附件。
二、现场资格复审时间、地点
时间:2023年4月20日,上午 8:30~11:30,下午14:30~17:00。逾期视为自动放弃。
地点:马鞍山市雨山区教育局社区学院楼303室(育才路2号)
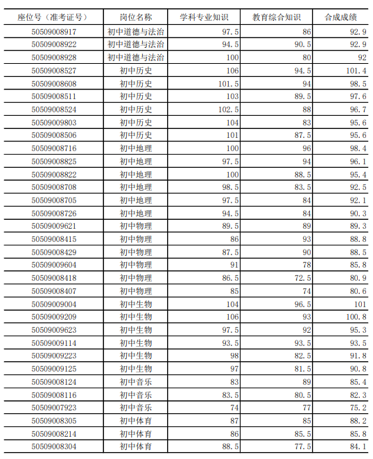
附件:2023年雨山区中小学新任教师公开招聘拟入围专业测试人员名单

根据《2023年马鞍山市博望区新任教师公开招聘公告》规定的招聘程序,经网上报名、资格审查、统一笔试等环节,现将现场资格复审有关事项通知如下:
一、现场资格复审对象
现场资格复审对象为拟入围专业测试人员,名单见附件。
二、现场资格复审时间、地点
时间:2023年4月19日,上午 8:30~12:00,下午14:00~17:00。逾期视为自动放弃。
地点:马鞍山市博望区人民政府1号楼五楼513室(博望区永新路1号)。
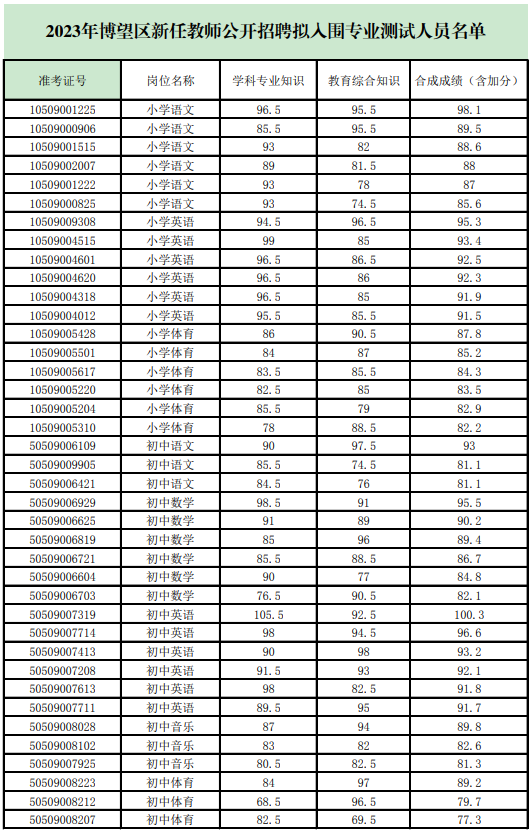
附件:2023年博望区新任教师公开招聘拟入围专业测试人员名单

综合:花山区、雨山区、博望区人民政府网站



