如需转载本文,请注明本公众号
本文共计4661字,阅读约需要31分钟
文献来源:Coulombel N, Monchambert G. Diseconomies of scale and subsidies in urban public transportation[J]. Journal of Public Economics, 2023, 223: 104903.
摘要:文章在Mohring(1972)提出的理论框架基础上将车次频率限制纳入公共交通运营模型中,打破了以往公共交通研究中列车车次随需求量无限增加的假设,由此产生了与既有经典文献不一致的结论。文章结果显示,随着城市公共交通需求不断增大并超过一定的水平,会导致路线出现拥堵,严重的拥堵将导致公共交通服务质量急剧下降进而出现规模不经济。文章进一步利用伦敦皮卡迪利地铁线数据进行了估算,证明了在早高峰时段,由于拥挤造成运行的规模不经济现象。在这种情况下,票价应高于平均运营成本,即应征收庇古税而非进行补贴,因此文章对目前针对繁忙公共交通线路普遍进行补贴的政策提出了质疑。
引言
公共交通是城市出行的重要方式,既有文献出于规模经济和次优定价的考虑普遍认为应对公共交通提供财政补贴,以降低平均用户成本、引导居民出行方式由私家车向公共交通转变。但上述文献并未考虑公共交通受制于车次频率,不能随着需求的增加而无限扩张。在额外补贴下,低廉的公共交通票价会产生高需求,造成线路拥堵问题,进而可能降低公共交通系统的服务效率。因此,在考虑拥堵问题时可能会得出与以往文献相反的结论。文章通过模型构建和数据模拟验证了严重的拥堵如何导致公共交通出现规模不经济现象。
模型构建
文章以Mohring(1972)提出的理论框架为基础建立了一个模型,研究了拥堵对公共交通规模经济的影响,包括对定价和补贴的影响。基础设定是线路行程长度恒定为d,相邻车站间距为ds,在每个车站,新乘客以恒定的速率N到达站点。
(一)模型设置
1.技术
令F表示车辆频率,H=F-1表示车次间隔,s表示车辆容量,模型假设每个车站、每列列车的下车人数(na)和上车人数(nb)相同且

总旅行时间是进出站时间、等待时间(tw)和车内旅行时间(tv)的总和,文章假设进出站时间为零。平均等待时间设定为车次间隔的一半,车内旅行时间的计算公式为:

车内旅行时间随着需求量N的增加而严格增加,而随着F的增加而严格减少。在Mohring(1972)的原始模型中,随着需求的不断增加,最优车次频率趋向于无穷大。然而,车辆频率受到运营限制:
,令
代表
的解,则最大可行车次频率
,以车次频率改写约束条件得:

最大可行车次
随着N的增加而减少,当
时就会出现过度拥挤,导致实际频率
低于F。
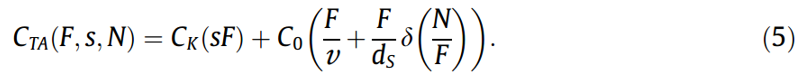
2.成本
设车辆运营成本为
且
(X表示车辆行使公里数;Z表示车辆行使小时数),
,此时成本可以改写为车次频率、车辆容量和需求的函数:

3.需求
需求通过广义逆需求函数
描述,货币保留价格
,其中
为用户旅行成本:
。它由三部分组成,反映了三种摩擦。其中
为等待成本函数;
是车内旅行时间成本函数;
是拥挤成本函数。改写成车次频率、车辆容量和需求的函数形式:

4.模型闭合
文章考虑了三种供给制度:福利最大化、利润最大化和公共资金边际成本的福利最大化。
首先在社会福利最大化下:

其中,
表示用户收益,
表示系统社会成本,福利最大化下,对于给定的需求水平N,选择F和s以使社会成本最小化。
利润最大化和公共资金边际成本的福利最大化下的服务质量供应规则与上述一致。
(二)结论
1.最优服务质量
在给定需求水平N的情况下,交管机构通过提供车辆频率F和车辆容量s来使社会成本最小化,同时受到车次频率约束的限制:

求解得:

因此,车辆容量的选择涉及到拥挤成本和资本成本之间的权衡,车次频率的选择随拥挤程度变化,在非拥挤情况下,车次频率的选择涉及等待成本、车内旅行成本与运营成本之间的权衡。在拥挤情况下,车次频率会随着需求量N的增加而减少。
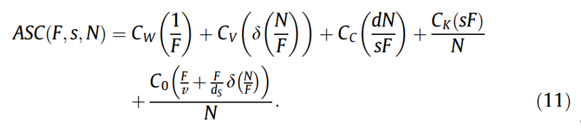
2.规模(不)经济
令ASC表示平均社会成本,且ASC=SC/N,则:

文章考虑短期、中期及长期三个时间段,短期时车次频率及车辆容量均固定不变,中期时车次频率可变,长期车次频率和车辆容量均可灵活改变。短期时,规模经济来源于生产成本,随着乘客增加,固定生产成本由更多乘客分摊。中期及长期时,规模经济来源于用户成本。当需求水平较低即N较小时,边际乘客对其他主体施加以下外部性:

其中
和
代表规模经济程度(K、O、W分别代表资本、运营和等待),当
或
时存在规模经济,当
或
时,可能会出现规模不经济。
当需求水平较高即N逐渐增大到一定程度后,边际乘客对其他主体施加的外部性变为:

其中,
是与车次频率约束相关联的拉格朗日乘子,相比于之前的式子增加了
这一附加项,用于捕获每增加一个用户时车次服务频率的下降。因此,即使系统在正常情况下总是具有规模经济的特征,在拥堵情况下,规模经济一开始可能会持续存在,但超过某个临界值后,运营情况就会恶化,以至于总是会出现规模不经济的情况。
由此提出命题1:对于单位时间跨度内,如果
,则公共交通服务存在规模经济;如果
,且
,则公共交通会出现规模不经济。
3.最优定价和补贴
考虑运输机构最大限度地提高社会福利:
,则最优解使得边际用户利益等于边际社会成本,最优票价为:

得出命题1的推论:对于每个时间跨度内,如果
,则公共交通服务获得补贴,如果
,则公共交通服务需要自筹资金。
设
为每次出行的最优补贴,结合等式(15)得
。
垄断情况下,利润最大化的票价与之前的定价规则相对应,并带有加价项:

由此提出命题2:垄断均衡时的需求总是低于最优时的需求。垄断行为通过提高票价使需求水平降低到社会最优水平进而实现利润最大化。
数据
本文的研究对象为伦敦地铁网络中里程数排名第二的地铁线路——皮卡迪利线,该线路由于车辆老化和高峰时段车次不足等问题经常面临中心地段严重拥堵问题。随着伦敦新地铁计划的实施,该地铁线路被纳入其中并拟定实施运力升级投资计划,因此皮卡迪利线是研究过度拥挤是否会导致规模不经济以及如何解决这个问题的最佳对象。
文章选用线性模型,使用的参数分为三类:技术、需求与成本。技术参数部分,最小安全车距和边际停留时间是通过实际供应量与观测需求量的回归来估算的。需求参数部分,假定广义需求价格弹性为0.75,将观测到的需求水平与广义价格相交估算出线性需求函数。成本参数部分,资本成本和运营成本参数利用伦敦交通局的财务报告进行估算,其他参数设置参考了既有文献,具体数据来源如表3所示。

结果分析
从表A1的结果来看,首先是公交票价,垄断状态下的公交票价高于最优状态下的票价(6.50>2.58);其次是需求量,最优状态下的需求大于垄断状态下的需求(2077>1312);再次是车次频率,最优状态下的车次频率低于垄断状态下的车次频率(22.7<25.4),最后时用户成本,最优状态下乘客成本的三个分项均高于垄断状态下的成本。这与既有文献的一般性结论相悖,需求量提升时车次频率并未随之增加,并且较高的需求导致拥挤问题,造成用户成本普遍提升,因此存在严重的规模不经济。

表5显示,中期时针对早高峰时段的最优补贴为负值,通过细分项发现,需求方的外部不经济(尤其是拥挤成本)是导致出现补贴为负的主要原因。对比非早高峰时段的结果,说明拥挤是导致这一差别的主要原因。同时,文章尝试放宽最高车次频率限制并计算了新的最优补贴,结果显示为正,进一步验证了拥挤带来的严重负外部性。

(二)长期
表A2显示,最优状态下,供给方在长期能通过调整车辆容量以满足更多长期需求,因此与中期相比,需求水平更高(2423>2077),票价更低(1.74<2.58),车辆容量增大至两倍多(1767>684),但车次频率降低(21.1<22.7),规模不经济性明显降低。垄断状态下需求较低,车次频率提高,规模经济性略有提升。
表5显示,长期时针对早高峰时段的最优补贴仍为负值,但细分来源与中期相比存在很大差异。长期最优供给要求车辆容量必须达到目标负载率,因此人均拥挤成本和资本成本相等且恒定,相应的外部性为零。此时旅行时间外部性是导致最优补贴为负的主要因素。

(三)伦敦新地铁计划
鉴于皮卡迪利线在早高峰时段的高强度使用和持续存在的拥挤问题,对其进行升级改造被纳入“伦敦新地铁”计划中。由计划方案估计,改造后皮卡迪利线车辆容量将增加30%,单位上/下车时间减少20%,最大车次频率提升至36列/小时。
通过模拟发现,在基准方案中,需求增加将导致服务质量大幅度下降,车次频率降低,负载率提升,边际用户对其他用户造成的外部成本更大,因此规模不经济更严重。“伦敦新地铁”方案的实施将显著提高车次频率和舒适度,负载率下降。尽管由于需求量的提升无法解决拥挤问题,但通过提高运营效率可以缓解规模不经济现状(-32%),并提升社会整体福利收益(+15%)。

结论
文章以Mohring(1972)提出的模型为基础并进行了拓展,将拥堵成本考虑其中,研究了拥堵对公共交通规模经济的影响。结果表明,城市公共交通的运营具有规模经济的特点,但仅限于一定的需求水平。如果需求过于旺盛,拥堵的严重程度会导致额外乘客的边际社会成本飙升并超过平均社会成本,导致规模不经济问题。同时,文章将拥挤状态下产生的外部性进一步细分为三种摩擦:用户之间的摩擦、用户与车辆之间的摩擦以及车辆之间的摩擦。研究发现,短期内用户之间和用户与车辆之间的摩擦是规模不经济的主要原因;中期和长期时车辆之间的摩擦是规模不经济的主要原因。规模不经济情况下,最优补贴变成负值,这意味着并不一定需要对公共交通用户进行补贴,因此这一结果对目前针对繁忙公交线路进行补贴的政策提出了质疑。此外,文章通过对伦敦皮卡迪利线的模拟提供了经验证据,证明了在早高峰时期,严重的拥堵导致规模不经济现象。而非高峰时段较低的拥挤程度使得公交运营呈现规模经济。最后,文章模拟了“伦敦新地铁”计划的效果,说明技术改进有助于缓解拥堵和抑制规模不经济。