东北
黑龙江
吉林
辽宁
其他
华北
河北
山西
北京
天津
内蒙古
华南
广东
广西
海南
香港
西南
四川
西藏
重庆
四川
贵州
云南
西北
新疆
甘肃
陕西
甘肃
青海
宁夏
新疆
华中
河南
湖南
湖北
华东
上海
江苏
浙江
安徽
福建
江西
山东
当前位置:
首页
>
江西
>2025年上饶市第四批就业见习岗位来了
2025年上饶市第四批就业见习岗位来了
2025-12-18 18:27:22
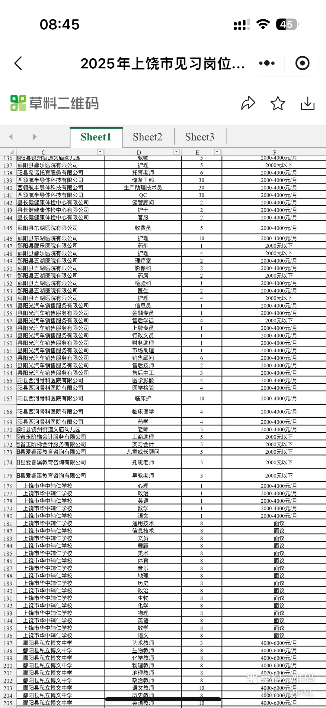
2025年上饶市第四批就业见习岗位来了
#实习证明
#好多职位可以选择
#政府见习
为进一步做好高校毕业生等青年就业见习工作,缓解我市青年群体就业压力,帮助我市离校未就业高校毕业生和失业青年积累工作经验、提升就业能力,根据省人社厅等十部门《关于进一步推进实施江西省就业见习岗位募集计划的通知》(赣人社发〔2023〕9号)要求,现将见习单位招募的岗位信息发布如下:(一)见习对象范围:离校2年内未就业高校毕业生和16-24岁(含24周岁)失业青年提供就业见习服务。(二)见习期限:一般为3-12个月,见习期间不建立劳动关系。(三)见习待遇:为见习人员发放见习生活费,标准不低于当地最低工资标准,并为见习人员办理人身意外伤害保险。
#岗位
#招聘会
,工资基本在2000-4000,有需要可以看看
#见习
本文来自网友投稿或网络内容,如有侵犯您的权益请联系我们删除,联系邮箱:wyl860211@qq.com 。
周口兼职
不限专业!2025年长沙市渣土事务中心招人~
点击查看更多
最新文章
周口兼职
急招!!!体彩商场销售员 上一休一 五险一金
📢正式员工!广播电视台下属国企招聘5人
孝感野人先生冰淇淋店招人啦!!
上饶医专附近中医馆招聘
株洲市攸县卫健系统招聘!46人
孝感短期人走账清
张家界卫健委今天开始报名啦!
福建省招聘心理老师2名,有编!
铜陵市义安区人民医院招聘,大爆发了?
热门文章
滁州双休工作真难找
周口办公室要人
上饶市蜜雪冰城招聘茶饮师啦~
2025年长沙幼师范专科学校附属幼儿园招教师
娄星区招人!
湖南省株洲市攸县卫健系统护士招聘
【滁州达亮】
天气冷了,想买袄子穿,要靠自己挣元子!
招!上饶招人!!招的就是你!!!
铜陵招人事
随机文章
10个月宝宝每天需要喝多少奶粉?
莆田住家儿童成长师|20W💰包吃住!
株洲攸县卫健系统事业单位工作人员46名!
滁州京雷贸易有限公司
上饶找工作的看这里
吉星中学附近托管兼职老师招聘
招兼职啦❗❗铜陵市❗
4个神仙岗位只招5人!宁德广电!
株洲市攸县卫健委大爆发,来一个帮一个!
郴州步行街妆面模特
【滁州】理想建设投资发展有限公司 | 招2人