东北
黑龙江
吉林
辽宁
其他
华北
河北
山西
北京
天津
内蒙古
华南
广东
广西
海南
香港
西南
四川
西藏
重庆
四川
贵州
云南
西北
新疆
甘肃
陕西
甘肃
青海
宁夏
新疆
华中
河南
湖南
湖北
华东
上海
江苏
浙江
安徽
福建
江西
山东
当前位置:
首页
>
湖北
>湖北【荆州】中小学教师统招岗位报录比
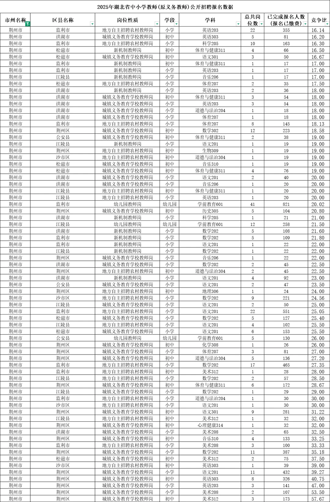
湖北【荆州】中小学教师统招岗位报录比
2025-12-18 15:35:43
湖北【荆州】中小学教师统招岗位报录比
2026湖北中小学教师公开招聘备考提前,应往届毕业生均可报名,近四年报名时间稳定,预计3月15日报名,4月18日左右笔试,6月中下旬面试,
报考条件: 年龄:18-30周岁,部分放宽至35-40周岁 专业:相近或对应专业,大部分岗位不限专业 学历:本科及以上,部分幼儿岗位专科及以上 资格证:最低有教资合格证明,普通话二级乙等及以上,语文、幼儿岗位需要二级甲等及以上
笔试科目: 《教育教学专业知识》70% 《综合知识》30%
面试形式:试讲、说课、结构化、技能测试等
#湖北教师招聘考试
#湖北教招
#湖北中小学教师招聘
#湖北义务教师
#湖北义务教师编制
#2026湖北中小学教师公开招聘
#湖北中小学教师公开招聘
#湖北教师编
#湖北农村义务教师
#湖北中小学教师统招
本文来自网友投稿或网络内容,如有侵犯您的权益请联系我们删除,联系邮箱:wyl860211@qq.com 。
招人啦‼️‼️
福建民政局 快来加入吧
点击查看更多
最新文章
招人啦‼️‼️
长沙“星斗”工程医卫类博士岗资审名单已出
邵阳市花艺师招聘
新乡市区临时工日结
来一个帮一个张家界市卫生健康系统招聘
学生党速冲!!
湖北定岗怎么分?选岗怎么选?详细原创贴
125/7.5小时株洲百货周末兼职
三门峡市直招教确定招!
兼职不要了,要全职
热门文章
在新乡别盲目找工作了,来看看这!
湖南长沙招市政技术负责人
长沙市教育局入围名单——长沙特殊教育学校
武汉高铁站亚朵S高薪招聘啦
衡阳充场人员观众充场临时演员扮演父母亲戚
2025株洲市法院系统招录数据
三门峡|市直招教师208人
医疗事业编又来啦
襄阳市 国企 社区服务岗 招人!!!
新乡博雅大厦招聘啦!!!!!
随机文章
10个月宝宝每天需要喝多少奶粉?
律师工作日常。
长沙市直教师招聘考核公告(师大梅溪湖)
我叫你来上班是害你嘛?是爱你呀宝宝!
三门峡市直招教208人!
短途9米6货车司机招募中
张家界卫健委报名第二天
18人!湖南省公安厅警务辅助人员#长沙岳阳
岳阳观澜郡KFC急聘店员!!
衡阳狗咖招寒假兼职生!
博雅大厦招聘