东北
黑龙江
吉林
辽宁
其他
华北
河北
山西
北京
天津
内蒙古
华南
广东
广西
海南
香港
西南
四川
西藏
重庆
四川
贵州
云南
西北
新疆
甘肃
陕西
甘肃
青海
宁夏
新疆
华中
河南
湖南
湖北
华东
上海
江苏
浙江
安徽
福建
江西
山东
当前位置:
首页
>
云南
>玉溪市下半年事业单位成绩
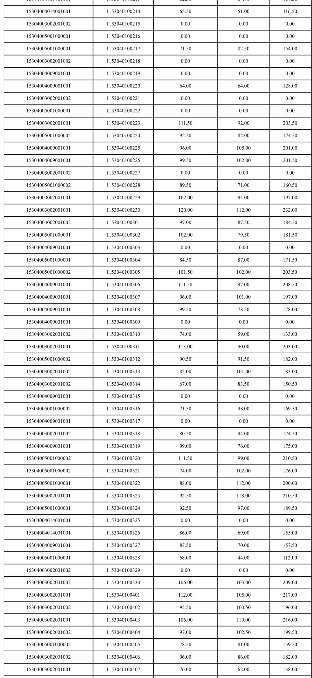
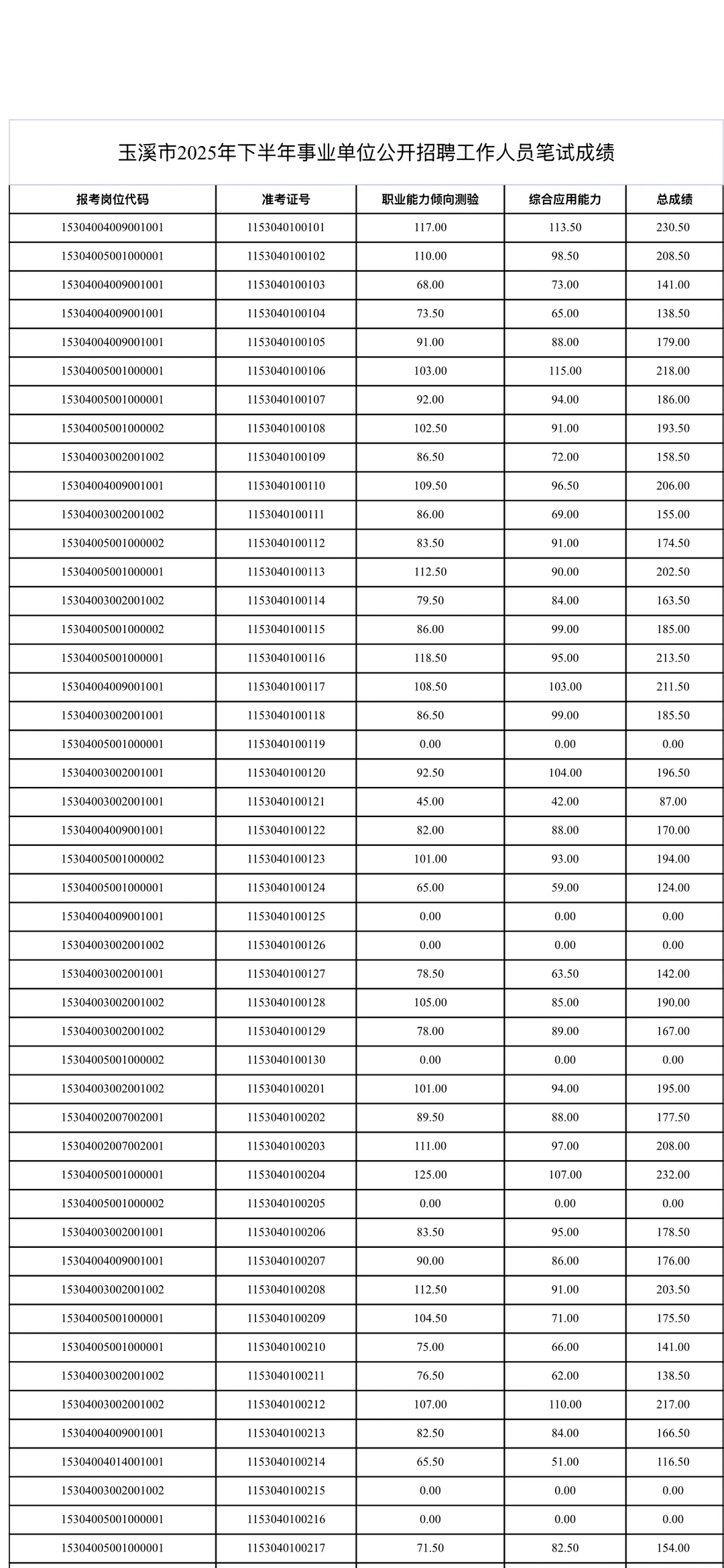
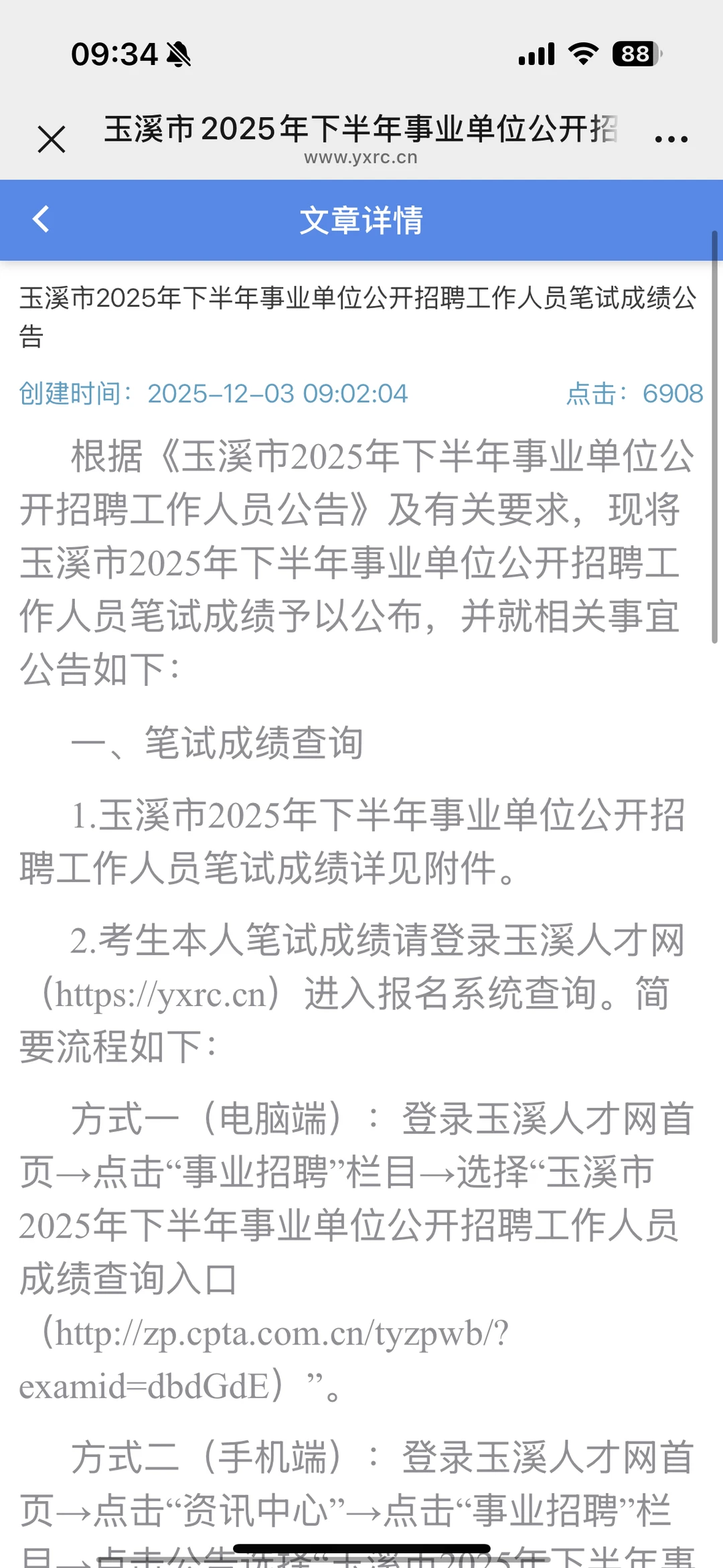
玉溪市下半年事业单位成绩
2025-12-19 19:01:04
玉溪市下半年事业单位成绩
#教师面试
#事业单位招聘
#下半年联考
#云南下半年事业单位联考
#云南省下半年事业单位考试
#事业单位面试教师
#事业单位面试
#说课
#模拟课堂
#结构化
本文来自网友投稿或网络内容,如有侵犯您的权益请联系我们删除,联系邮箱:wyl860211@qq.com 。
推荐来啦🍀
甘肃水务开始招人啦!
点击查看更多
最新文章
推荐来啦🍀
找工作|宁夏分公司信达招人
开封市直招教考情(518联考)
2025年咸阳师范学院招聘博士教师26人
11月最后截止的央国企,这些千万别错过
2025下半年甘肃省直事业单位招聘公告
吐鲁番人才引进13个岗13人
新疆12月16日最新招聘信息
旅拍店化妆师招聘啦
大专可报!金凤区妇联公开招聘工作人员!
热门文章
开封市直招教(8月9日联考)考情
酒泉大数据中心9人
25下安康事业单位D类(教师岗)岗位表!
80道陇南市党群政府口事业单位面试题答案
张掖有找工作的小伙伴吗?招人招人啦
宁夏银川文旅集团贺兰山文化旅游开发有限公
冷门但意外好进的外企base:咸阳
新疆事业单位资格审查时间已出
楚雄州团委招聘科室业务辅助人员
幼儿专属,张掖市甘州区招聘幼儿园教师
随机文章
10个月宝宝每天需要喝多少奶粉?
宁夏石嘴山银行招聘53人,各地市都有岗!
新疆检察官学院资格审查
西和县辅警进入资格复审名单!
2024年张掖事业单位招聘公告一览
《中国企业报》集团全资公司|国企直签
宝鸡事业编报名第三天!
宁夏大型企业招聘!
甘肃最新招聘❗️企业直签
新疆艺术学院招聘成绩出啦!资格审查速看
吐鲁番社区工作者新增通知,心疼今年的考生