东北
黑龙江
吉林
辽宁
其他
华北
河北
山西
北京
天津
内蒙古
华南
广东
广西
海南
香港
西南
四川
西藏
重庆
四川
贵州
云南
西北
新疆
甘肃
陕西
甘肃
青海
宁夏
新疆
华中
河南
湖南
湖北
华东
上海
江苏
浙江
安徽
福建
江西
山东
当前位置:
首页
>
黑龙江
>2025年牡丹江市事业单位联考资格审查名单!
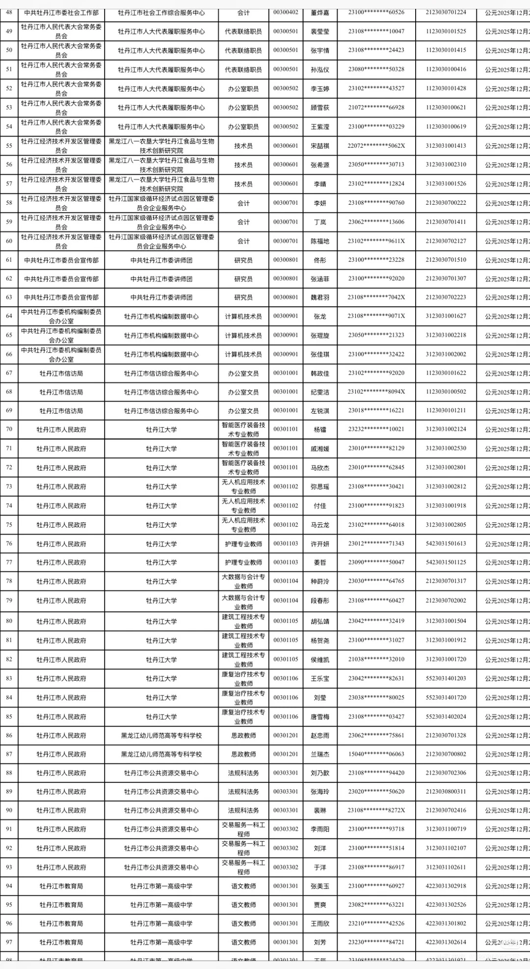
2025年牡丹江市事业单位联考资格审查名单!
2025-12-17 23:48:11
2025年牡丹江市事业单位联考资格审查名单!
2025年牡丹江市事业单位联考资格审查名单!
参加现场资格审查人员名单
详见《2025年下半年事业单位公开招聘工作人员拟进入面试人员名单》(附件1)。
三、现场资格审查时间、地点及咨询电话
(一)时间
2025年12月22日-12月24日9:00—11:30.13:30—16:30.
各岗位现场资格审查时间安排详见附件1.
(二)地点
牡丹江市人力资源和社会保障局1楼(牡丹江市卧龙街1号)。
(三)咨询电话(请在工作时间拨打)
#引进优秀人才
#事业单位面试
#事业编上岸
#报名人数
#事业编
#资格复审
#事业单位联考
#事业单位招聘
#事业编上岸
#报名人数
本文来自网友投稿或网络内容,如有侵犯您的权益请联系我们删除,联系邮箱:wyl860211@qq.com 。
大连麦记牛奶公司,招店长、店员啦
📢吉林市融媒体🀄心招聘20人
点击查看更多
最新文章
大连麦记牛奶公司,招店长、店员啦
沈抚校招教师笔试公告
重生之我在齐齐哈尔招兼职
2025大庆萨尔图区事业单位公开招聘面试通知
大连市兼职
197人!吉林省事业单位、公益岗等招聘公告
沈抚示范区25年教育系统招聘教师笔试公告
齐齐哈尔星巴克招聘
牡丹江市2025年下半年事业单位资审名单
(教育系统)大连市甘井子区招聘120人‼️
热门文章
吉林市融媒体中心招考公告
延吉市招聘信息🔥
大庆市公安局2025年辅警又又又递补(七)
金火旺铁锅炖(华玉府店)招聘服务生
沈阳招工群,免费推荐。
大连机场招内勤、技术、管理🎉正式员工
大学生兼职驻唱
吉林华润集团急招🎉文职🎉正式合同
2025年吉林市融媒体中心公开招聘紧缺人才
25 下半年牡丹江事业编联考面试 资格审查
随机文章
10个月宝宝每天需要喝多少奶粉?
辽宁省大连市有哪些不错的央国企?
萨尔图区25年下半年面试通知
大连寒假兼职📚西西弗书店时薪22💰
齐齐哈尔医学院附属医院招眼科医师!
25吉林省直事业编新公告!本科起报
吉林省省直事业编招聘工作人员 42 人
年底在捞人的公司:Base:大连
牡丹江25年下半年事业单位招聘资审通知
辽宁省高速集团🎉正式合同❗
现场报名!本科可报!无编!