东北
黑龙江
吉林
辽宁
其他
华北
河北
山西
北京
天津
内蒙古
华南
广东
广西
海南
香港
西南
四川
西藏
重庆
四川
贵州
云南
西北
新疆
甘肃
陕西
甘肃
青海
宁夏
新疆
华中
河南
湖南
湖北
华东
上海
江苏
浙江
安徽
福建
江西
山东
当前位置:
首页
>
贵州
>贵州能源集团招4⃣️1⃣️人
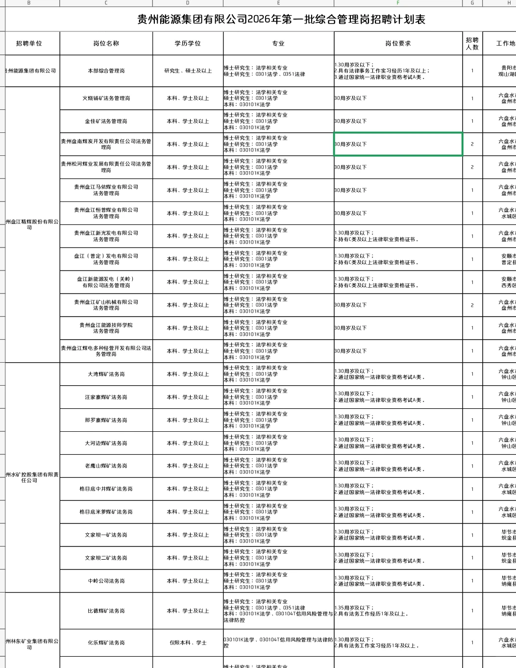
贵州能源集团招4⃣️1⃣️人
2025-12-17 17:09:29
贵州能源集团招4⃣️1⃣️人
✅报名时间: 12月10日-16日
✅准考证打印时间: 2026年1月7日-9日
✅笔试时间: 1月11日9:30-11:30
📝笔试内容:综合知识与岗位(行业)专业知识等
#贵州招聘信息
#贵州招聘
#国企央企
#贵州国企招聘
#贵州能源集团
#贵州能源集团招聘
#贵州找工作
#找工作关注我
本文来自网友投稿或网络内容,如有侵犯您的权益请联系我们删除,联系邮箱:wyl860211@qq.com 。
唯一的名额
平凉户籍 30人 基层派出所公告公开录取
点击查看更多
最新文章
唯一的名额
西安寒假兼职
成都市淘宝闪购招聘短期寒假工
早九晚六双休新媒体运营助理
银川市公安局招聘警务辅助人员综合成绩公示
考25年宁夏吴忠辅警笔试的建议!别走弯路!
招聘乌鲁木齐新市区 轻松
26届国网一批招聘岗位一览【河北河南篇】
新疆民政局缺人!有人想加入的嘛❓
2025年甘肃省平凉市灵台县新开乡招聘村文书
热门文章
广汉短期小时工,144一天
宝鸡近日就业见习汇总
林芝市红十字会公开招聘辅助性岗位工作人员
郑州经开区口罩厂招女工月入7000+吃住全免
【宁夏银川金凤区】党建办公室、财务招聘
成都还有找工作的宝子吗?
贵州省公证协会招聘‼️
新疆寒假实习!我来啦(附list)~
什么?陕西第一批国企开始捞人了?
有同学想来新疆街道办么🙌
随机文章
10个月宝宝每天需要喝多少奶粉?
乌鲁木齐地接旅行社邀请你一起解锁世界
吉林人才引进驻企服务岗位
贵阳远归告别事务所招招招
招聘:成都信然能源有限公司
河南图书馆 大量要人
宁夏的考生还有谁不知道?
坐标中卫,招聘观星师
24宝鸡医疗定向各区县考试时间+形式汇总
大家陇南人才引进农业农村局大家考的怎么样
新疆全区三月招聘活动计划总汇!(第二批)