2025年双鸭山市招聘教师面试资格确认通知




各相关考生:
按照《双鸭山市区学校2025年公开招聘教师公告》,现将面试资格现场确认工作有关事项通知如下:
一、面试资格现场确认时间
8月15日,上午9:00-11:00,下午13:30-16:00
二、面试资格现场确认地点
双鸭山市教育和体育局四楼大会议室(双鸭山市第一中学B区)。
三、参加面试资格现场确认的人员范围
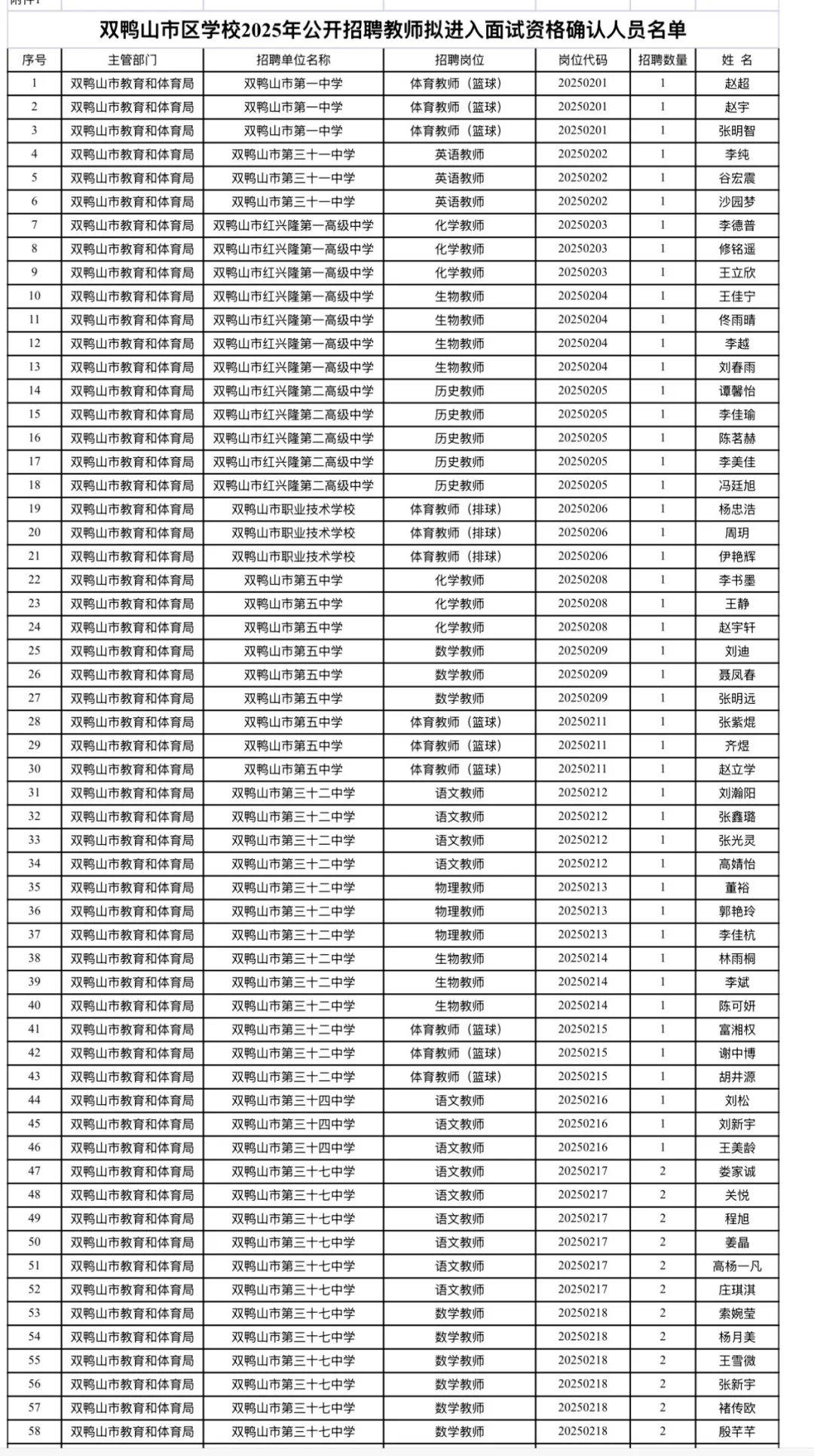
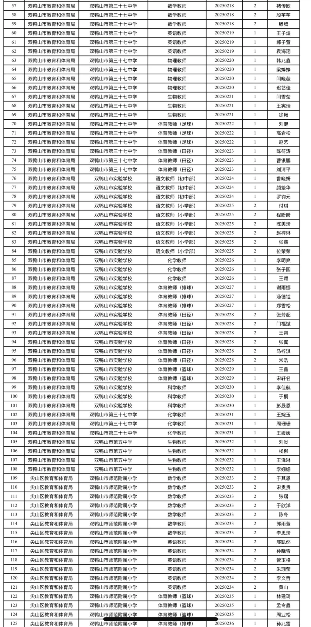
双鸭山市区学校2025年公开招聘教师拟进入面试资格确认人员名单(见附件1),笔试成绩低于60分者,不予进入面试环节。
四、参加面试资格现场确认考生需携带的材料
1.双鸭山市区学校2025年公开招聘教师面试资格确认审查表(见附件2);
2.第二代居民身份证;
3.毕业证、学位证,教育部学历证书电子注册备案表,学信网下载原件1份,网址:http://www.chsi.com.cn/ ;港澳地区、国外院校毕业的人员,须提供教育部留学服务中心的国(境)外学历学位认证书;
4.教师资格证(尚未完成教师资格认定的,需提交与所报岗位相应学段和学科的《中小学教师资格考试合格证明》或者《师范生教师职业能力证书》,以上两类人员同时提供普通话水平测试等级证书);
5.企业在职或其他地市在编报名人员须开具所在单位及主管部门同意报名的书面证明(样板见附件3);若考生报名时为在职人员,但资格确认前已与原工作单位解除工作关系,可提供证明考生已离职或处于待业状态的相关佐证。例如,解除工作关系的证明、离职证明、已办结的辞职辞退手续等;
6.未就业的考生需提供档案存放证明,日期为2025年7月30日以后(档案在黑龙江省各级公共人才服务机构保管的,本人通过“龙江人才”微信小程序线上申请开具存档证明,自行彩色打印);
7.双鸭山市区学校2025年公开招聘教师面试资格确认考生诚信承诺书(见附件4);
五、有关要求
1.参加资格确认的考生应按指定时间,本人到现场进行资格确认。不按时参加资格确认的,视为考生本人自愿放弃进入面试资格。
2.考生应严格履行报考承诺,填写考生个人承诺书,如实提供有关情况。对存在违反诚信原则、虚构事实骗取面试资格、提供虚假材料扰乱秩序的,将按有关规定取消面试资格,并依法依规追究责任。
3.面试资格确认过程中,排队等候时应保持合理间距,避免人员聚集。结束资格确认的考生应及时离开,不得逗留或