手机导航
网站首页
工作
招聘
岗位
猎头
急聘
人才
经开区拟引进非京毕业生若干人 恭喜落户!
发布时间:2025-10-22 13:21:43
经开区拟引进非京毕业生若干人 恭喜落户!
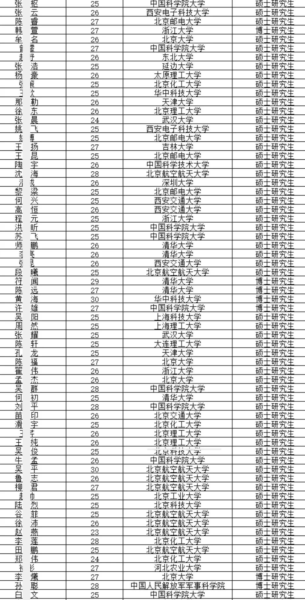
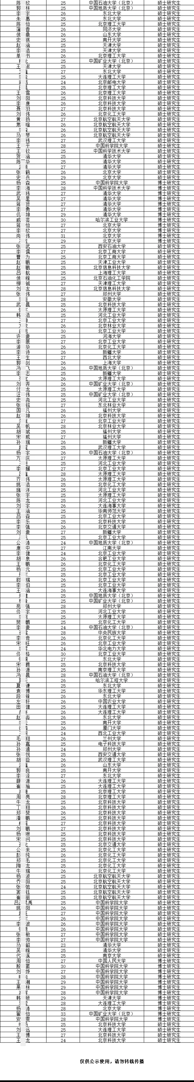
北京经济技术开发区2025年拟引进非北京生源毕业生名单公示
引进这么多非北京生源,获得落户机会,属实让人羡慕啦~临渊羡鱼不如退而结网,大家符合报名条件的可以报名今年的国考、京考、事业单位单招、国央企等。复习时间有限,结合历年试题,中公研发团队帮助大家提炼星级考点,知识归类,针对性更强;考点快速学习,备考资料可👀↓
1⃣️2025北京事业单位笔试习题集
2⃣️2025全年时政汇总(赠24年)时政是必考的内容,其主要包含一些重大会议,重要文件,时事热点等!
#经开区
#落户
#北京户口
#落户北京
#人才引进
#事业编
#事业单位招聘
#中公北京分校
#中公
#考编
上一篇:
📚10月书单|4本书提升决策思维
上一篇:
社区每周都可以开办的活动有哪些
热门文章
服了!带货主播只是学历要求低,不是门槛低
吉林市医院+护理教师编制6人,可以报名!
黑龙江伊春丰林县招聘事业单位工作人员65人
孟州找工作的来看
漫谈26年广东省考官宣
分享一下我的招聘经历
石家庄不定项1教育学直播课堂笔记
盘点什么人适合做主播
25吉林市事业单位招308人❗️❗️
哈尔滨太平国际机场人才引荐计划!正式工
最新文章
急急急,在家闲着的宝子们快来呀
国考报名人数
中国银行(第一批)面试通知汇总
蚌埠建康技工学校招生老师招聘
公卫招聘分享——2025.10.20
百色雅斯特右医中心店招聘啦~
想做电商主播应该锻炼自己哪些方面
四川成都出了!
华润集团黑龙江分公司🎉正式合同~投就中
招聘主播啦、望京附近
推荐阅读
深圳校招又新增‼️又有2所学校赴外招聘
在家工作 | 主播招募🚀 经验不限!
无经验小白看过来!教培主播热招中
26国考选岗
建筑安全人集合!岗位推荐!!!
河南省新闻出版学校招聘人事代理16名
谁说带货主播不香的。
没报机构怎么选岗
原来警察有这么多种类
师大专升本招聘
最新招录信息
琼ICP备2025051398号-21
| QQ:888888888 | 地址:地球村88号 | 电话:1888888888 |
首页
搜索
留言
预订电话