黄埔教招|长春考点试教成绩&笔试安排速看!

发布时间:2025-10-22 13:18:51   

黄埔教招|长春考点试教成绩&笔试安排速看!

黄埔教招|长春考点试教成绩&笔试安排速看!

黄埔教招|长春考点试教成绩&笔试安排速看!

黄埔教招|长春考点试教成绩&笔试安排速看!

各位正在赶考路上的小伙伴们注意啦!📣黄埔区教育局长春考点最新公告已出,试教成绩和笔试安排全在这里!

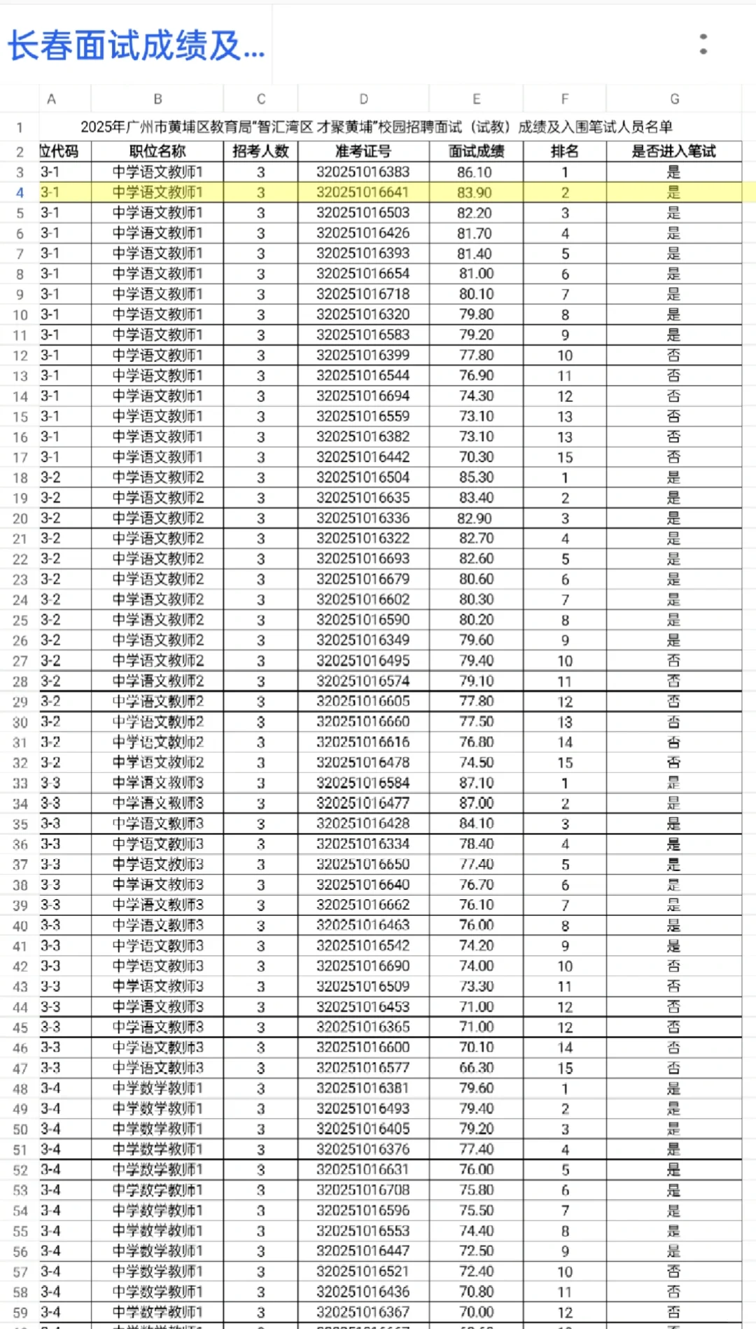
✅【试教成绩查询】
成绩表见官网附件
快去看看自己是否进入笔试环节啦!

✅【笔试对象】
附件中“是否进入笔试”标记为【是】的考生
恭喜你们离梦想更近一步✨

✅【笔试安排】
🎫准考证打印:
10月18日16:00起
登录:全国事业单位招聘网

📅笔试时间:
10月19日上午9:00
记得提前到场!

📍考试地点:
以准考证为准

📝笔试内容:
闭卷考试|90分钟
涵盖:教育学、心理学、政策法规、时事政治、教材教法、专业知识
满分100分|合格线60分

⚠️重要提醒:
必带!身份证+准考证双证齐全
提前规划路线,千万别迟到!

💫祝各位考生笔试顺利
期待在黄埔的教育热土上
见到闪闪发光的你呀!✨
#教师招聘考试 #考试时间 #黄埔教师招聘 #教招 #教师招聘 #教师招聘笔试 #教师编制考试 #教师编制 #广东教师考编 #2026校招季

上一篇:属于兽医学的所有退路!!

上一篇:房山事业单位招聘结果公示!退役大学生士兵

琼ICP备2025051398号-21  |   QQ:888888888  |  地址:地球村88号  |  电话:1888888888  |