手机导航
网站首页
工作
招聘
岗位
猎头
急聘
人才
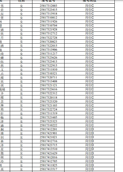
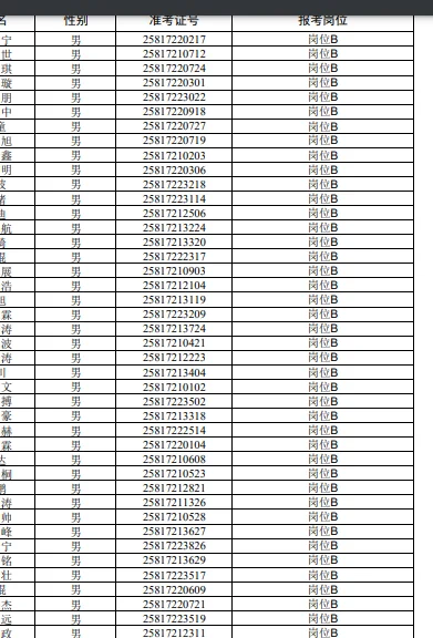
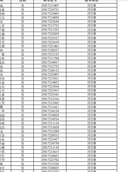
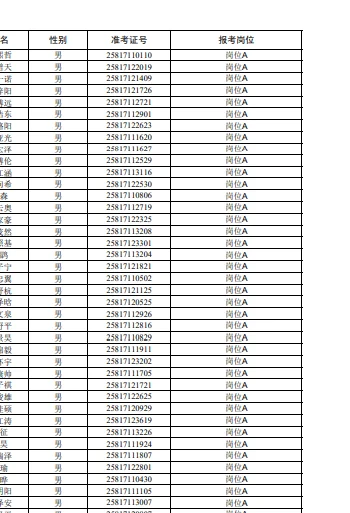
25河北省公安厅招聘辅警公示名单🔥第一批
发布时间:2025-10-21 11:50:57
25河北省公安厅招聘辅警公示名单🔥第一批
河北省公安厅关于2025年面向社会公开招聘警务辅助岗位劳务派遣人员拟聘用人员(第一批)公示的公告
#辅警公示
#辅警公示名单
#辅警
#辅警招聘
#辅警考试
#公安招警考试
#辅警
上一篇:
‼️邯郸市直教师岗博硕人才引进公告已出
上一篇:
含图书管理岗!厦门集美实验学校招聘3人
热门文章
曝光度提升
找工作金九银十 农学还能冲
[宁夏绿丰源工程咨询公司]农业类
2026农发行招考笔试考情及备考建议
1️⃣6️⃣8️⃣8️⃣才是小红书电商的天堂啊
不算泄题吧?农业农村部备考范围已出,熬夜背
近距离认识农产品交易员
新人挑战3天交1000个朋友🫰
金九银十去偏爱农学生的水果外企
说实话,农商行其实蛮好进的!
最新文章
广东省科学院南繁研究所招聘农学食品作物等
一定要养号,不然流量低的可怕
26秋招农企招聘
今年农行网申彻底变了
小红书logo长毛了?!
月薪10k|诺普信26届校招作物学,农种植保等
小红书人工客服最新入口被我找到了
挑战2000粉!1000粉已达标,谢谢🙏
小红薯🍠认证企业蓝v帐号详细实操全步骤‼️
🖤黑钻高跟鞋才是“斩男又斩女”的终极杀器!
推荐阅读
男生玩小红书是为了什么?
农发行湖南分行26校招50人,10.12截止网申
濉溪国企招人
小红书种草🌱笔记多少💰一篇?
26农发行网申简历填写注意事项⚠️
原来如此,这才是小红薯的黄金发布时间
姐妹们,农商行面试演着演着就过啦!
🍠1000怎么买?
农业农村部笔试,玩呗,反正重复率80%+
曝光度提升
找工作金九银十 农学还能冲
琼ICP备2025051398号-21
| QQ:888888888 | 地址:地球村88号 | 电话:1888888888 |
首页
搜索
留言
预订电话