解锁联通Offer|从录用数据分析联通的偏爱

发布时间:2025-10-19 13:00:27   

解锁联通Offer|从录用数据分析联通的偏爱

解锁联通Offer|从录用数据分析联通的偏爱

解锁联通Offer|从录用数据分析联通的偏爱

解锁联通Offer|从录用数据分析联通的偏爱

解锁联通Offer|从录用数据分析联通的偏爱

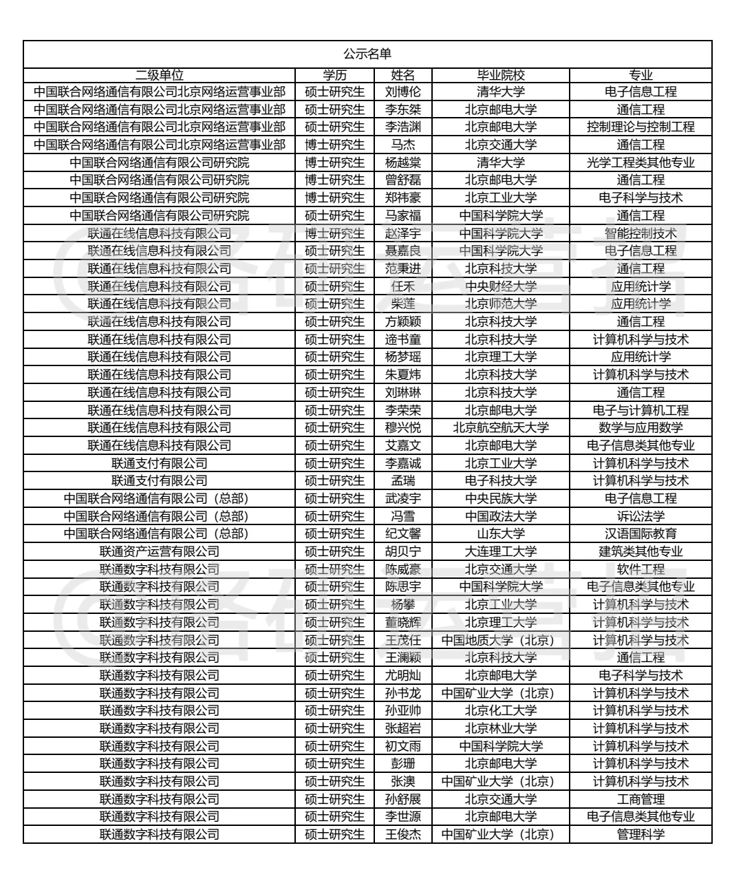
中国联通的校招名单也出炉啦!和移动相比,联通的录用名单呈现出一些不同的特点!往下看👇

📊 核心数据速览
总录用人数:约150人
博士研究生:约10%(明显低于移动)
硕士研究生:约87%
大学本科:约3%(联通为本科同学留了机会窗口!)

🎓 院校分析
▪️ 北邮依旧强势
在技术类岗位中,北京邮电大学的身影无处不在,不愧是通信运营商的人才摇篮。
▪️ “京圈”高校的集体胜利
· 北京工业大学:成为一匹黑马,录用人数跻身前列!
· 北京科技大学:在“联通数字科技”等子公司表现非常活跃。
· 中国科学院大学:科研实力备受青睐,在研究院、在线公司等单位是香饽饽。
· 北京交通大学:在软件研究院、网络运营事业部需求稳定。
▪️ 清华北大:精准发力
清北学霸主要分布在研究院的核心研发岗位,走“高精尖”路线,人数不多但位置关键。

💼 专业分析
1. 绝对王牌专业
· 通信工程:毫无悬念的TOP1,所有网络、技术类部门的刚需。
· 计算机科学与技术:与移动一样,是数字化转型的基石,需求量巨大。
· 电子与通信类:硬件和底层技术的保障,需求稳定。
2. 新兴热门方向
· 网络空间安全:在数字化时代,地位越来越重要。
· 智能控制/人工智能:在“联通在线”、“智网科技”等面向未来的子公司开始布局。
3. 文科/商科的“突围路径”
· 法学:主要集中在总部和华盛通信,诉讼法学是亮点。
· 商科:会计学、工商管理、应用统计学在职能管理和业务部门有一席之地。
· 设计/传媒类:联通华盛招收了视觉传达、艺术设计等专业,做终端产品、品牌营销需要多元化人才。

🏢 单位抉择:你的专业该去哪里?
· 研究院/软件研究院:博士和顶尖硕士的聚集地,专业极对口,搞研究和核心开发。
· 联通数字科技有限公司:招人大户! 技术岗位的集合地,计算机、软件工程专业同学的主战场。
· 联通在线/智网科技:偏向互联网化和前沿科技,需要计算机、通信、AI等复合背景。
· 北京市分公司:岗位最多元,从技术到市场、从财务到法务都有需求,院校背景也更多样化,甚至为优秀本科同学开了口子。
· 联通华盛通信:最跨界! 除了通信技术,还需要设计、法律、财经、市场营销等各类专业,氛围可能更接近互联网公司。

#中国联通#应届生求职#校招#录用名单 #央企求职#北邮#职业规划#通信工程#运营商 #就业

上一篇:最新!26海曙事业编紧缺人才招聘20人

上一篇:血研所护理岗位公示名单

琼ICP备2025051398号-21  |   QQ:888888888  |  地址:地球村88号  |  电话:1888888888  |