手机导航
网站首页
工作
招聘
岗位
猎头
急聘
人才
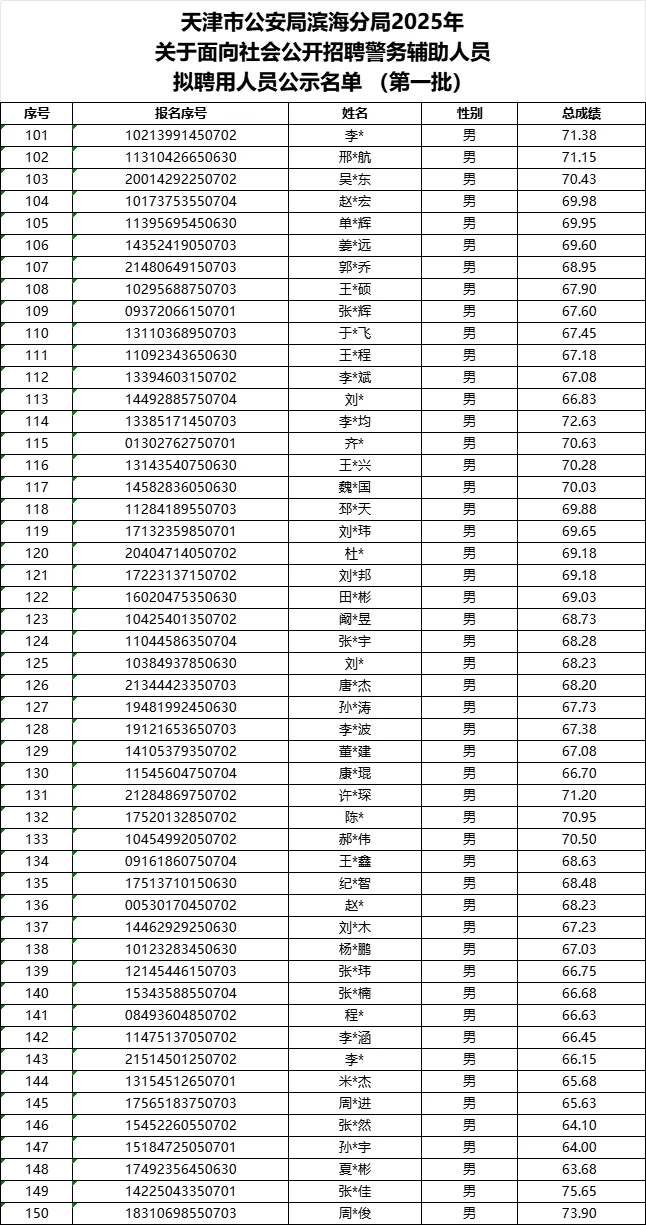
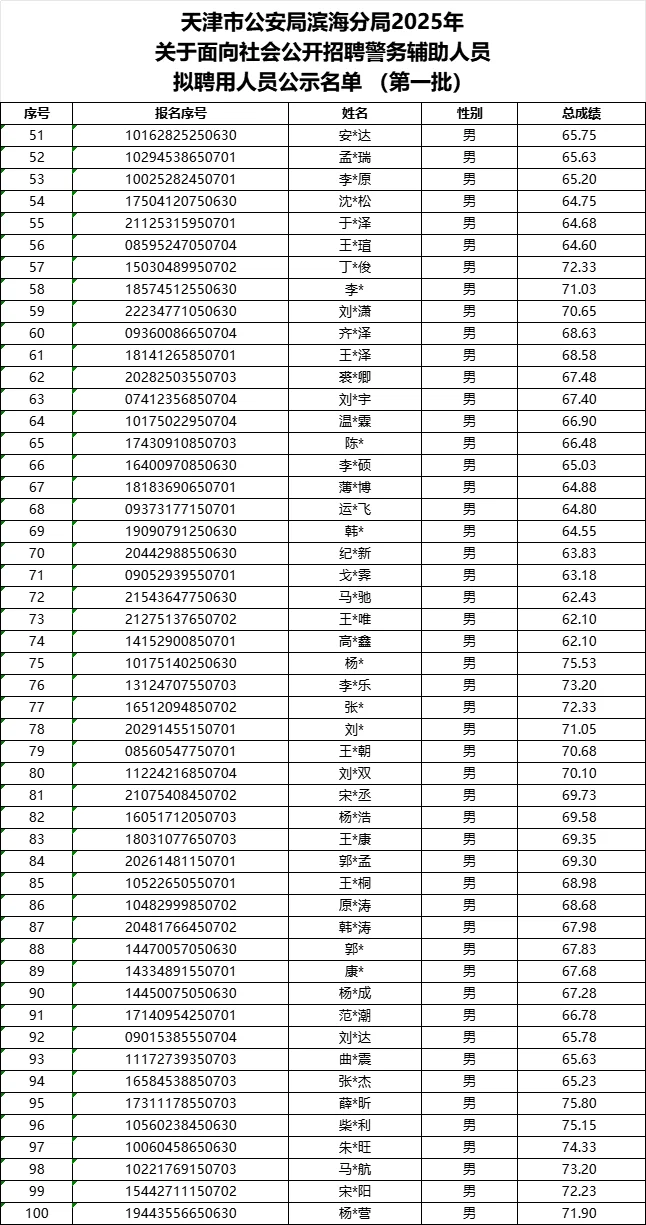
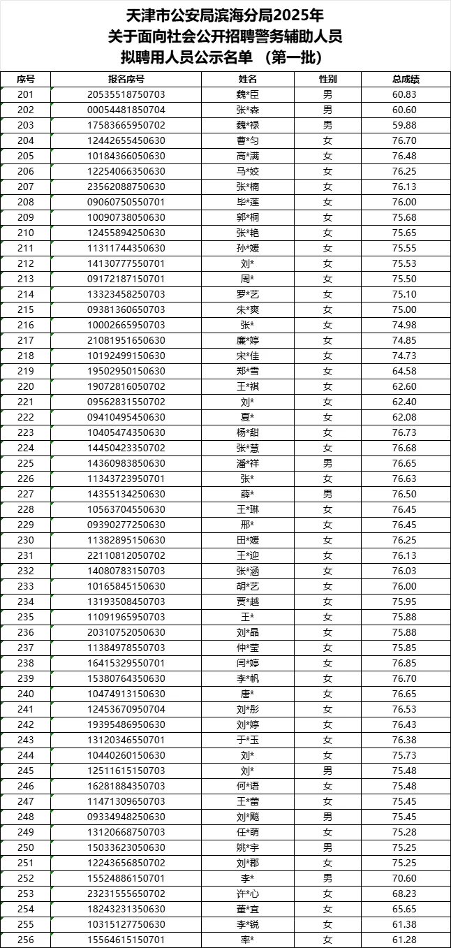
2025滨海新区辅警招聘拟录用公示-第一批
发布时间:2025-10-17 11:45:02
2025滨海新区辅警招聘拟录用公示-第一批
#辅警
#辅警考试
#天津辅警
#天津辅警招聘
#滨海新区
#滨海新区辅警
上一篇:
二附院药剂岗招聘结果
上一篇:
10.9日护理事业编公开招聘公告
热门文章
🔥中国教育出版传媒集团有限公司招26人!
国考公告马上出!
机会来了!虹口教师岗位要求放宽
中国三峡新能源招聘传储热专责岗
三拓2025三拓光荣榜
火箭军公示25文职第二批拟录用对象名单
出来了!出来了!
终于等到了!国考公告已出
想要岗位表66
北京中医医院招聘拟录公示
最新文章
25北京法院审判聘用制辅助人员招聘94人
2025教育部教育管理信息中心招聘18人❗
绿春县2025年下半年事业单位招聘会公告岗位
化州市2025年公开招聘教师拟递补聘用公示
重庆工商大学2025年考核招聘人员公示
河南省应急管理厅2025招聘拟录用人员公示
宁波市江北区综合行政执法局公开招聘
唐山高级工程师职称资格审核公示啦
厦门总工会招聘!
国家税务总局2024拟录用工作人员公示
推荐阅读
国企!合肥高新投资促进集团招聘4人
🔥中国教育出版传媒集团有限公司招26人!
国考公告马上出!
机会来了!虹口教师岗位要求放宽
中国三峡新能源招聘传储热专责岗
三拓2025三拓光荣榜
火箭军公示25文职第二批拟录用对象名单
出来了!出来了!
终于等到了!国考公告已出
想要岗位表66
北京中医医院招聘拟录公示
琼ICP备2025051398号-21
| QQ:888888888 | 地址:地球村88号 | 电话:1888888888 |
首页
搜索
留言
预订电话