手机导航
网站首页
工作
招聘
岗位
猎头
急聘
人才
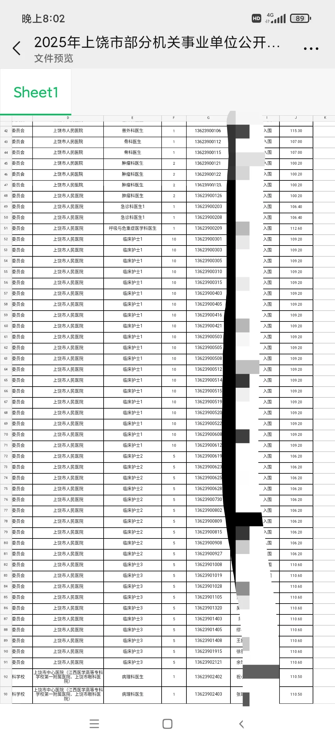
上饶市机关事业单位入围名单
发布时间:2025-10-16 05:21:33
上饶市机关事业单位入围名单
#结构化面试
#事业单位招聘
#上饶市机关事业单位编外招聘
#上饶事业单位考试
上一篇:
谁找工作?有无经验都🉑,时间自由~
上一篇:
合同制老了怎么办
热门文章
招北京律所前台
杭州萧山要招博主助理了~
急聘团播化妆师
我不配挣点提成?????
我要美甲美睫师
传媒行业 主播 赚米 真心换真心 中国人不骗
招聘兼职女主播(小白新人)
杭州急聘!这份offer,缺你!☕️
昆明有人吗?包吃住 招女生
这才是上班的意义
最新文章
投诉处理专员
北京招聘直播运营专员
1688女装电商公司急聘客服
灯光师招聘!
日结!全职兼职!大量要人
追星也是职业
本公司项目工程师长期兼职邀请
济南高新区招聘主播
案场客服急聘
运营好难招啊!
推荐阅读
招聘售电主播
佛山南海 招直播助播1名
传媒公司招聘漂亮主播小姐姐
杭州萧山要招博主助理了~
我不配挣点提成?????
传媒行业 主播 赚米 真心换真心 中国人不骗
招聘兼职女主播(小白新人)
这才是上班的意义
北京招聘直播运营专员
灯光师招聘!
追星也是职业
琼ICP备2025051398号-21
| QQ:888888888 | 地址:地球村88号 | 电话:1888888888 |
首页
搜索
留言
预订电话