手机导航
网站首页
工作
招聘
岗位
猎头
急聘
人才
北京西城区招聘社区工作者拟录用人员公示
发布时间:2025-10-14 05:47:54
北京西城区招聘社区工作者拟录用人员公示
各位考生:
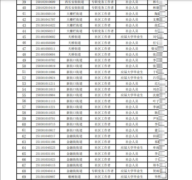
根据西城区2025年面向社会公开招聘社区工作者和党群服务中心专职党务工作者工作安排,经过笔试、面试、体检、考察等程序,现将拟录用人员予以公示(详见附件)。
#社工
#西城区社区工作者
上一篇:
兰州市中小学人才引进【教师岗】
上一篇:
秦皇岛事业编公示
热门文章
Wisma Wah Chan高薪诚聘!只要5位✨
玄武社工招聘,是领航组织的!
我爱 爱奇艺实习ing
参与华为招聘会获大奖🥳
高薪诚聘航空客舱清洁员
秋招后想给大一至大三的朋友们一点实习建议
上海急聘配送岗
北京烟草局招聘
工信部招聘 事业编制 45岁以下 本科学历
大疆急捞实习生, 接受低年级零经验
最新文章
高薪化学化工材料类!中节能万润2026届校招
山东省泰安市直卫健委公开招聘官方放大水
包吃包住保底5500加提成!竟然招不到人
有没有在深圳学设计想转产品的uu在找实习
招聘,高薪工作,要求30以内,大专学历以上
有没有宝子可以来实习呀
岱岳区招聘城乡公益性岗位805人
烟草局行整文员岗8000+月薪+六险二金+双休
实习可以水,实习周记千万别水!
新疆吐鲁番市鄯善县公安局招聘
推荐阅读
【急招!高薪诚聘】印刷排版设计师,一起玩
四大实习,有来实习的嘛支持远程!!
高薪全盘会计师快来看👀
海尔集团实习捞人啦!200/天
北京节后想找工作的来 今面试 明入职
有同学想来小米实习的吗 300/天
高薪诚聘 | 儿童成长陪伴师
有人想来广州谷雨实习嘛 25/26届优先
在郑州boss快刷烂了!!!
庄里有没有要找工作的?工作4小时,月薪1万
有人要来外研社实习吗
琼ICP备2025051398号-21
| QQ:888888888 | 地址:地球村88号 | 电话:1888888888 |
首页
搜索
留言
预订电话