手机导航
网站首页
工作
招聘
岗位
猎头
急聘
人才
总成绩第一,但是不予聘用
发布时间:2025-10-14 00:58:24
总成绩第一,但是不予聘用
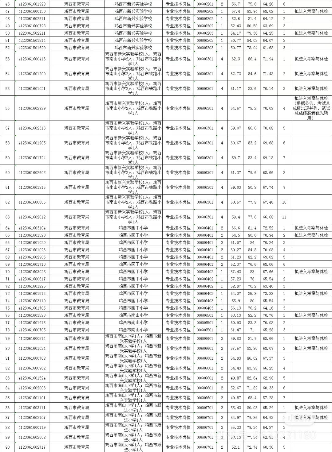
图片为鸡西市2025年上半年事业单位公开招聘工作人员拟进入考察与体检人员名单及总成绩公示(第一批), 第一批为D类、E类岗位,同学们可以参考这个分数。
其中有2个岗位,虽然笔试+面试总成绩第一,但是不予聘用,只因为面试成绩低于60分,太可惜了。
#鸡西事业编
#鸡西事业单位联考
#鸡西教师招聘
#鸡西事业单位
#黑龙江事业单位联考
#黑龙江事业编联考
#中公
#黑河中公教育
#黑龙江教师招聘
#事业单位联考
上一篇:
怎么把boss直聘的简历导到微信?教你
上一篇:
新疆农业大学招聘
热门文章
重庆找工作避雷
因为喜欢一个游戏从而想去它的公司怎么办[
balabababa~杭州集恩好中意你来!
可为soho猎头挂靠猎聘和boss直聘
已读不回是个什么事❓
这合理么???
网申填表真的太痛苦了,分享个解决办法
修真界boss直聘?女主是那个直聘!
boss互助啦
找不到工作呀!
最新文章
面试登记表模板,word版可编辑‼️
鱼泡直聘 有骗子公司
来个人呗 来个人
BOSS直聘已经废了
BOSS直聘健身房前台靠谱么
Boss直聘铁路工作人员靠谱吗???
公主请上班😃😃
邢台市信都区2025年公开招聘拟聘用人员名单
刚刚!中国农业科学院招聘计划启动啦!
汉中找工作,哪里机会多?
推荐阅读
已读不回是个什么事❓
这合理么???
网申填表真的太痛苦了,分享个解决办法
修真界boss直聘?女主是那个直聘!
boss互助啦
找不到工作呀!
面试登记表模板,word版可编辑‼️
鱼泡直聘 有骗子公司
来个人呗 来个人
BOSS直聘已经废了
BOSS直聘健身房前台靠谱么
琼ICP备2025051398号-21
| QQ:888888888 | 地址:地球村88号 | 电话:1888888888 |
首页
搜索
留言
预订电话